Structural Biochemistry/Chemical Bonding/Van der Waals interaction
Van Der Waals interactions (also known as London Dispersion forces) are weak attractions that occur between molecules in close proximity to each other. The basis of these interactions is that the distribution of electronic charge around an atom fluctuates with time. As two atoms come closer to each other, this attraction increases until they are separated by the van der Waals contact distance. When two molecules are too close to each other, the potential energy due to repulsion is very high, which means that it is unstable. There is repulsion even though the molecules are neutral, because there is an electron cloud surrounding each molecule. When these molecules get too close to each other, repulsion between the molecules occur. As the molecules move farther apart from each other, the potential energy due to repulsion decreases. This force was named after Johannes Diderik van der Waals, a Dutch physicist who studied them extensively.

Van der Waals radius
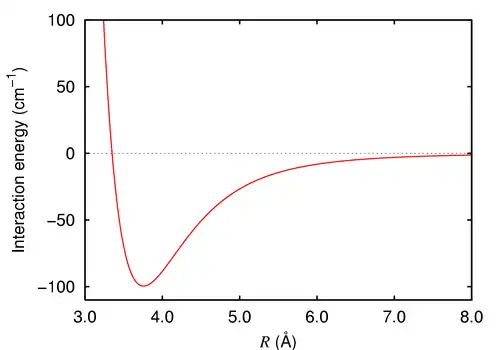
Two molecules can interact by Van der Waals forces when they are at a certain distance apart. The molecules are stabilized by Van der Waals interaction at the Van der Waals contact distance because the potential energy of the system at this distance is at its lowest. In the potential energy diagram shown to the right, the minimum potential energy point corresponds to the Van der Waals contact distance.
As the distance between the molecules increases, the weakly bonded molecules lose their stability and are no longer affected by the Van der Waals forces due to their large distance apart. When the distance between the two molecules decreases, however, the stabilization is decreased as well due to the electrostatic repulsion between the molecules. This level of repulsion is felt more drastically and more intensely in Van der Waals interactions than in ionic interactions, where the level of repulsion is felt more gradually.
Energy in Van der Waals interaction
Energies associated with van der Waals interactions are quite small. Usually, they are about 2 to 4 kJ/mol per atom pair. When the surfaces of two large molecules come together, a large number of atoms are in Van der Waals contact, and the net effect, summed over many atoms pairs can be substantial. Macromolecules such as proteins and DNA contain numerous sites of potential van der Waals interactions that the cumulative effect of these small binding forces can be enormous; hence the most stable structure for macromolecules is that where weak interactions are maximized.
Van der waals interaction in proteins structure
In addition to hydrogen-bonds and disulfide bonds, protein structure can also be stabilized by Van der waals interactions. In the coiled-coil protein, there are Heptad repeat which form by the side chain interaction between each alpha helix; hepad-repeat is repeated in every 7th residues. If these repeating residues are hydrophobic, such as leucine, van der waals interaction will be formed to stabilize this protein structure.
References
Berg, Jeremy; Tymoczko, John; Stryer, Lubert. Biochemistry, 6th edition. W.H. Freeman and Company. 2007. (8)