Structural Biochemistry/Lipids
Lipids belong to a family of organic compounds which includes fats, vegetable oils, waxes, cholesterol, phospholipids, steroids, and fat-soluble vitamins (A, D, E, and K). They are formed by either or both carbanion-based condensation of thioesters and carbocation-based condensation of isoprene units.[1] Although lipids are amphiphatic molecules (containing both components of hydrophilic and hydrophobic regions within the molecule), lipids are generally hydrophobic due largely in part to their large proportion of hydrocarbons to polar regions (due to oxygen containing functional groups). Therefore, Lipids are not soluble in water but are soluble in nonpolar solvents (ex: benzene and chloroform).
Lipids have several functions in biology. Digestion of triglycerides yields glycerol and fatty acids, which are subsequently used as fuel. Additional biological functions include: constructing cell membranes, storing energy, and as signaling molecules. Lipids can form bonds to proteins and carbohydrates forming lipoproteins and lipopolysaccharides.
There are eight categories of lipids defined by the LIPID MAPS Consortium, which classifies them by their chemically functional backbones. The eight categories - fatty acyls, glycerolipids, glycerophospholipids, sphingolipids, sterol lipids, prenol lipids, saccharolipids, and polyketides - are then further divided into classes and subclasses.[2]
Fatty Acids
One common biological lipid is the fatty acid.
Nomenclature
To name a fatty acid, it is essential to know the name of the original hydrocarbon since the ending of the name will be replaced as follows:
- A single bond replaces the e--> oic
- A double bond replaces the ne-> dienoic
- A triple bond replaces the ne-> trienoic

One example is octadecane. When it is a single bonded saturated fatty acid, the name would transform into octadecanoic acid. A double bond would change the name to octadecadienoic acid. And finally a triple bonded fatty acid would convert the name to octadecatrienoic acid.
There are also other notations for a person to read fatty acids. One case is denoting the number of carbon atoms versus the number of double bonds. For example 14:2 states that there are 14 carbon atoms and 2 double bonds within the molecule.
The last case for naming double bonds is through the symbol Δ and ω. By having a superscript after the delta, it denotes that there exists a double bond after that number. For example a cis-Δ12 states that there is a cis double bond between the carbon atoms 12 and 13. The ω-n notation is another way to denote where the double bond is placed. If for example the n = 4 (ω-4) then there will be a double bond between the 4 and 5 carbon starting from the CH4 end. Omega - 3 fatty acids are a common example of a fatty acid named using this method.
Properties
Essential components that define fatty acids:
- Hydrocarbon chain(s)
- Saturated (pure C-C bonds) or unsaturated (contains one or more C=C bonds)
- Carboxylic acid at one terminus
Fatty acids are chains of hydrocarbons that vary in length and in degree of saturation. Membrane fatty acids typically have 14 to 24 carbons and may be saturated or unsaturated. The non-polar hydrocarbon alkane chain is an important counterbalance to the polar acid functional group. In acids with only a few carbons, the acid functional group dominates and gives the whole molecule a polar character. However, in fatty acids, the non-polar hydrocarbon chain gives the molecule a non- polar character.
There are two groups of fatty acids—saturated and unsaturated. Recall that the term unsaturated refers to the presence of one or more double bonds between carbons as in alkenes. A saturated fatty acid has no double bonds, meaning all C atoms are bonded to two hydrogen atoms (with the exception of the terminal C which is bonded to three hydrogen atoms).
The unsaturated fatty acids have lower melting points than the saturated fatty acids. The "kink" in the hydrophobic tail interferes with the tight packing of the tails, lowering the melting temperature. The reason for this phenomenon can be found by a careful consideration of molecular geometries. The tetrahedral bond angles of the carbons in a saturated fatty acid results in a zigzag structure that is relatively linear. This molecular structure allows many fatty acid molecules to be rather closely "stacked" together. As a result, close intermolecular interactions result in relatively high melting points. On the other hand, the introduction of one or more double bonds in the hydrocarbon chain in unsaturated fatty acids results in one or more "bends" in the molecule. The geometry of the double bond is almost always a cis configuration in natural fatty acids. These molecules do not "stack" very well, weakening the intermolecular interactions between molecules compared to saturated molecules. As a result, the melting points are much lower for unsaturated fatty acids.
Triacylglycerol
This is the simplest form of lipid made from three fatty acids with an ester linkage to a glycerol. Most triacylglycerols found in nature are from two or more different fatty acids. They are relatively insoluble in water and hydrophobic due to the non-polar nature of the aliphatic portion of the fatty acid chains. There is a small amount of polar nature, however, resulting from the ester linkage between the hydroxyl groups of the glycerol and the carboxylates of the fatty acids.
In eukaryotic cells, triacylglycerol serves as metabolic fuel and insulation. Adipocytes store a large amount of triacylglycerols in vertebrates, and in plants, it is stored in the form of oil in seeds. An enzyme called lipase is present in both adipocytes and seeds, catalyzing the hydrolysis of triacylgycerols and releasing fatty acids which can be used for fuel in the necessary places.
The advantages to using triacylglycerols as a source for metabolic fuel reside in its highly reduced nature, as well as its hydrophobic state. Since the carbons of fatty acids are more reduced than those of carbohydrates, oxidizing fatty acids provides more energy. Triacylglycerols are better for storage because it does not add the unnecessary weight to the host, i.e. its hydrophobic tendency prohibits it from getting hydrated, a source for added water weight. Furthermore, triacylglycerols stored under the skin of some animals, such as: seals, whales, penguins,etc. also serve as an insulation against the cold. Hibernating animals especially benefit greatly from the dual purposes of triacylglycerols.
Types of Membrane Lipids
1. Phospholipids

A phospholipid molecule consists of two main parts, a hydrophilic polar head group and a hydrophobic tail. The polar head group has one or more phosphate groups while the hydrophobic tail has two fatty acyl chains. The polar head group is joined to the hydrophobic moiety by a phosphodiester linkage via a glycerol or sphingosine molecule. When these molecules are placed in water, the head group faces water while the tail faces away from water, making a bilayer. The fatty acyl chains consists of entirely hydrocarbons. If the carbon atoms are all bonded by single bonds, then it is saturated. If one or more double bond exist, it is unsaturated. The fatty acid chains provide the hydrophobic barrier.
It is important that phospholipids are abundant in all biological membranes. A phospholipid molecule is constructed from four components: one or more fatty acids, a platform to which the fatty acids are attached, a phosphate, and an alcohol attached to the phosphate. The platform on which phospholipids are built may be glycerol (a three-carbon alcohol) or sphingosine (a more complex alcohol). The fatty acid components provide a hydrophobic barrier, whereas the remainder of the molecule has hydrophilic properties to enable interaction with the aqueous environment. There is a great amount of diversity because a phospholipid can have many different 'head groups' as a substituent to the phosphate group. Examples of these head groups include serine, ethanolamine, choline, glycerol, inositol.
These modification of phospholipids always have a reason,e.g. in archaebacteria, which lives in 70 or 90 degrees C, the phopholipids are modified to remain stable at high temperatures in the membrane or, in the case of myelination of the brain, phospholipids in neuron soma are different from phospholipids in the myelin sheath.
Phospholipids are important as a structural constitution of lipid bilayer of biological membranes (for example, the plasma membrane of cells and intracellular membranes of organelles serve as separation of cells from their environments and participate in biological functions of metabolism and signaling).
Phospholipids exist in two forms: phosphoglycerides and sphingomyelin.

Phosphoglycerides
Phosphoglycerides are lipids of glycerol groups bonded to two fat-soluble fatty acids and one charged, water-soluble phosphate group; the compound is known as phosphatidic acid. The phosphate group can be bonded by other chemical group to form different structures for different functions. The attachment of phosphate to one end of the glycerol convert it from a prochiral structure to a chiral structure (a non-chiral structure that can be made chiral). The biological structure of cell membrane is constructed as bilayer, which is a structure that has the fat-soluble components interacting with each other and the water-soluble facing outside towards the polar solvent. Phosphatidate(Diacylglyerol 3-Phosphate) is considered the simplest phosphoglyceride. The major phosphoglycerides are derived from phosphophatidate by the formation of an ester bond between the phosphate group of phosphatidate and the hydroxyl group of one of several alcohols. The common alcohol moieties of phosphoglycerides are the amino acid serine, ethanolamine, choline, glycerol, and inositol. Phosphatidylcholine, phosphatidylserine, and phosphatidylethanolamide are major phosphoglycerides.

Sphingomyelins
Sphingomyelins are unlike phosphoglycerides in that they are not derived from glycerols. However they are similar in terms of the 3 components: fatty acid, platform, phosphate. Instead of glycerol, sphingomyelins utilize sphingosines as the backbone platform. Sphingosine is an amino alcohol containing a long unsaturated hydrocarbon chain. In sphingomyelin, the amino group of the sphingosine backbone is linked to a fatty acid by an amide bond. Phosphoglycerides may have one of the different alcohols as the hydroxyl group bound to the phosphatidate, however sphingomyelins have the primary hydroxyl group of sphingosine esterified to phosphorylcholine.
2. Glycolipids

Glycolipids are lipids that have a covalently attached carbohydrate (sugar-containing lipids). Glycolipids aid in providing energy as well as serving as genetic markers for cell recognition. There are two types of glycolipids: sphingolipids and galactolipids. The sphingolipid is made up of one sphingosine, a fatty acid, a mono or oligosaccharide. The galactolipid is made up of a glycerol, two fatty acids, a mono or disaccharide, and sulfate. Galactolipids are mostly found in plant cells, specifically in the thylakoid membrane of the chloroplast.

Glycolipids are sugar(glyco-)containing lipids which functions include energy provision and cellular recognition. The structures are formed by carbohydrate chains bonded to phospholipids on extracellular side of cell membrane of phospholipid bilayer. These structures serve as recognition markers for chemicals and also stabilize the membrane structure and bonding from cell to cell to form tissues. They are derived from sphingosine instead of a form of glycerol. Another difference from phospholipids is that glycolipids contain a sugar unit (can be glucose or galactose) instead of a phosphate group. Glycolipids have a direct glycosidic linkage between the polar head group sugar and the backbone glycerol, whereas in phospholipids the polar head group is joined through a phosphodiester bond. Glycolipids differ from sphingomyelin in the identity of the unit that is linked to the primary hydroxyl group of the sphingosine backbone. In addition, in the cell, membrane glycoproteins and glycolipids are invariably oriented with their carbohydrate moieties facing the cell's exterior.
Glycolipid molecules have a large range of complexity starting from the most basic molecule, cerebroside which contains 1 fatty acid unit, a sphingosine backbone, and 1 sugar unit (glucose or galactose), to the most complex molecules containing branched chains of multiple sugar residues (up to seven residues in gangliosides).
3. Cholesterol
Cholesterol is a lipid-like alcohol found in animal tissues. It has a structure different from other lipids. It is relatively medium-sized molecule that contains four adjacent cyclic hydrocarbon molecules with three six-member rings and one five-member ring that has a hydroxyl and a saturated hydrocarbon chain terminals. Cholesterol is amphipathic due to its polar hydroxyl group and non-polar hydrocarbon body. Also, cholesterol's fused ring system provides it with much greater rigidity than other membrane lipids since it does not allows it to rotate about the C-C bond.

Cholesterol is considered a steroid and is not found in prokaryotes. Its main function involves the permeability of the cell membrane since it manages membrane fluidity. Cholesterol has a tendency to decrease membrane fluidity because the hydrophobic section interacts with the hydrophobic regions of the surrounding phospholipids. Cholesterols have also been implicated in forming lipid rafts, regions of lipids and proteins that tend to cluster together and whose composition differs from the surrounding membrane.
Cholesterol is lipid in cell membranes that is not as soluble in water or organic solvent. It is synthesized from acetic acid and is classified as sterol, or compound with both steroid and alcohol groups. The biological structures are constructed as the hydroxyl group bonded to polar phospholipids and sphingolipids groups of membrane, and steroid and hydrocarbon groups to nonpolar fatty acid groups of other lipid compounds in membrane. The molecule functions as a buffer or a temperature stabilizer for the membrane in which it can make up of 25% of the membrane. When existing in membranes, the 4 cyclic molecules in the cholesterol molecule lay parallel to the fatty acid chains of the phospholipids, meanwhile the hydroxyl terminal points in the direction with the polar phospholipid heads in which it interact with. Cholesterol also participates in the construction, regulation of cell membranes of different temperature ranges, and formation of steroid hormones.
Cholesterol is the most abundant steroid in animals and may constitute up to 30-40% of plasma membrane lipids. Cholesterol molecules exist primarily in nerve cells. The molecule binds to the myelin sheath membrane which provides an outer coating that protects the nerve cell from its surroundings. Also, it is an essential precursor to sex hormones that exists in males (testosterone) and females (estradiol). It is also an essential component in vitamin D that enables the body to utilize calcium to form bones.
Animals acquire very little cholesterol from the food they eat. Instead, cholesterol is made within the body. Although cholesterol is essential for many processes and structural function, it can be detrimental to have excess cholesterol. Too much cholesterol in the blood will cause blockages in the arteries which can result in heart disease, high blood pressure, and stroke. Only 0.25% of human beings suffer from high cholesterol because of heredity factors. More commonly, people get high cholesterol levels from the food they eat (especially in America).
Steroids

Steroids are derivatives of cyclopentanoperhydrophenanthrene, a compound which includes four fused, non planar rings. Cholesterol is the metabolic precursor of steroid hormones in mammals. These hormones regulate a variety of physiological functions such as gene expression,metabolism, inflammatory reactions, capacity to deal with stress, excretion of salt and water by the kidneys, and sexual development. Examples of steroid hormones are cortisol, testosterone, aldosterone, and beta-estradiol. Due to the fact that steroid hormones are not soluble in water, they bind to proteins for transport through the blood to their target tissues. Also steroids tend to have a longer lasting impact compared to other hormones or signaling molecules.
Membranes
When amphipathic molecules, like phospholipids, come together, membranes form. Membranes are sheetlike structures that are two molecules thick (typically between 6 nm to 100 nm) and form closed boundaries between different intracellular compartments. Membranes consist of lipids and proteins in a mass composition ratio range between 1:4 to 4:1. Carbohydrates are also present in membranes linked to lipids and proteins. The membrane lipids are small molecules that are both hydrophobic and hydrophilic, thereby creating closed bimolecular sheets that serve as barriers to other molecules. Very specific proteins serve to mediate the movement or signaling of substances. These proteins include pumps, channels, receptors, energy transducers, and enzymes. These proteins are usually embedded in membranes in the lipid bilayer and mediate the signal transduction between the two environments. Most cell membranes are polarized with the inside of the cell having a different composition versus the outside of the cell. The separation of intra- and extracellular environments allows the cell to form an electric potential across the membrane, which is vital to transport, energy conversion, and excitability.
Lipids contain two components that constitute its amphipathic characteristic:
-Hydrophobic tail consisting of a saturated or unsaturated hydrocarbon chain which, because of the hydrophobic effect, causes the hydrocarbon tails to line up parallel to each other.
-Hydrophilic polar head consisting of a charged phosphate group which points in the direction of the polar aqueous solvent.
Together, these two components aid lipids to interact together and its environment to exist as a lipid bilayer or as a micelle.
Lipid Bilayers

Lipid Bilayers are a perfect example of how structure plays a role in function. The structure of the bilayer provides a permeability barrier between exterior and interior compartments. This theme, first experimented by Gorter & Grendell, has remained dominant in our understanding of the organization and function of biological membranes. The hydrophobic ends are mingled together away from water while the hydrophilic heads face the extracellular fluid and the cytoplasm. The lipid bilayer also contains protein channels that act as transport pathways for certain proteins to get through. There are many proteins that might reside in the bilayer, each with their own sequence, structure and post-translation modifications to allow the protein to correctly perform its task, yet all intermembrane proteins share two common regions, a hydrophobic and hydrophilic region. The hydrophobic portion of the protein allows it to be cemented into the bilayer through hydrophobic interactions with the long hydrocarbon chain of the phospholipid, while the hydrophilic region resides in the aqueous environment.
Lipid bilayers display elastic properties due to their fluid structures. The fluidity of the lipid bilayer is described by the Fluid Mosaic Model. Phospholipids can also undergo flipping from one surface to another, although this is extremely unfavorable since the polar head group of a phospholipid must pass through the hydrophobic region of the bilayer to invert itself; this helps to maintain the asymmetry of the membrane surfaces. Proteins are mostly fixed in the membrane and cannot freely rotate, maintaining this intentional asymmetry.
Each leaflet of the bilayer consists of complex and unique lipids reaching more than 100 different types. Membranes can have regions cholesterol and sphingomyelin in high concentrations. The broad range in complexities is necessary for its essential functions such as maintaining electrical, mechanical, and chemical gradients. The lipids in the membrane undergo complex phases to facilitate processes that are a function of concentration, composition, and temperature. Cell division and membrane fusion occur readily because of the bilayer’s lateral pressure profile and interfacial region between bulk water outside of the cell and virtually no water in the interior of the bilayer. These features create a water concentration gradient from the lipid backbone to the middle of the two leaflets in addition to a dielectric-constant gradient. [3]
Properties of Cell Membrane
1. Sheet-like Structure
The cell membranes are composed of two lipid sheets, called the lipid bilayer. The sheet-like structure is favored by phopholipids and glycolipids in aqueous environments, i.e. when phospholipids, glycolipids, and cholesterol are mixed with water, they tend to cluster together, with their hydrophobic tails in contact with each other and their hydrophilic heads interacting with the aqueous medium. Because the hydrophobic region exposed to the aqueous surrounding is reduced by the clustering, the number of ordered water shells is minimized at the lipid-water interface, and hence the entropy of the system increases, which is thermodynamically favorable.
The lipid bilayer is favored by phospholipids and glycolipids because the fatty acid tails on the lipids are too bulky to be buried into the interior of a micelle. The lipid bilayer has the ability to extend to macroscopic dimensions because the hydrophobic interactions among lipid molecules not only act as driving forces that enable the formation of the sheet-like structure, but also stabilize the structure.
In both prokaryotic and eukaryotic cells, plasma membrane and membranes of organelles consist of the phospholipid bilayer with proteins attached to or embedded in it. Because metabolic requirements of the cell impose a upper limit on the size of a single cell, the plasma membrane functions as a barrier at the boundary of each cell, guarding the passage of substances to the cell.
2. Membrane Lipids and Membrane Proteins
-Membrane Lipids: Three common membrane lipids:
Phospholipids: contains 2 fatty acid tails, glycerol, phosphate and alcohol groups.
Glycolipids: contains a sugar head, covalently bonded through glycerol just like phospholipids.
Cholesterol: bulky molecule that has two ends. One end has the hydrocarbon group, the other end has 4 rings of hydrocarbon with an hydroxyl (-OH) group.
Membrane Proteins: Membrane proteins are protein molecules that are bonded or related closely to cellular or organelle membrane. They can be classified into two groups based on bond strength with membrane:
A. Transmembrane proteins: Transmembrane proteins span the lipid membrane with alpha helices or beta sheets and are the most common structure in membrane proteins. Most of these alpha helices are nonpolar and very few are charged. Proteins with alpha helices are also used to anchor a protein to the surface of a cell membrane. Beta strands form channel proteins in the membrane. Each beta strand is in antiparallel arrangement and is linked by hydrogen bonding. This beta sheet can form a hollow column, which forms a pore in the membrane. The outside of the pore is nonpolar and hydrophobic whereas the inside is hydrophilic. This structure is obtained by alternating hydrophobic and hydrophilic amino acids in each strand.
B. Integral monotopic proteins are stably bonded to membrane that requires nonpolar solvent to break the bond. Examples of Integral Membrane Protein:
Bacteriorhodpsin- It moves proton from the inside of the "lipid bilayer" to the outside using light energy. The structure is in alpha helics form and the alpha helics is the most common structural motif in membrane proteins.
Glycophorin: Glycophorin is an example of glycoproteins and is made up of alpha helices. It is a dimer protein that binds to both hydrophobic and hydrophilic regions of the membrane. The positive amino acids (Lys and Arg) of it bind to the phosphate polar head group of the membrane, reducing lateral movement of the protein. Glycophorin serves as receptor for M/N blood type. Other functions of glycophorin are still under investigation.
Bacteriorhodopsin: is an integral protein found in photosynthesis bacterium. It is made up of three identical chains, hence, a trimer. Each chain is then made up of 7 alpha helices. Bacteriorhodopsin serves as a channel that can undergo conformational change to pump protons across the membrane (from cytosol to extracellular), creating the proton gradient that is used for ATP synthesis.
Porins: is made up of beta strands. Its outward surface consists mostly of hydrophobic groups, which helps interacting with the hydrophobic region of the lipid membrane. Inward surface consists mostly of hydrophilic groups, held together by hydrogen bond. Because of its inward hydrophilic region, small charged molecule (waste, water, nutrients) can travel through porins to get inside or outside of cells.
C. Peripheral: Peripheral membrane proteins are impermanently bonded to lipid bilayer or integral proteins, which can dissociate by polar solvent. The head group of lipid on a lipid bilayer interacts with the peripheral membrane protein by electrostatic and hydrocarbon bond. An example of a peripheral membrane protein is:
Cytochrome C: is made up of alpha helices. Cyt c is found in all eukaryotic mitochrondria. Cyt C is covalently attached to a heme group, which can undergo transition between ferrous and ferric states within the cell. Due to conformational change, cyt c serves as electron transport from Complex III to Complex IV. This is possible because Cyt c can bind loosely to both Complex III and Complex IV proteins, which are integral proteins.
3. Amphipathic Molecular Structure
Amphipathic molecule contains both hydrophilic and hydrophobic groups in its structure. In case of lipid membrane, the hydrophilic groups are the phosphate polar head and the hydrophobic groups are the hydrocarbon tails.
Because of the amphipathic nature of the cell membrane, lipid bilayers are highly impermeable to ions and polar molecules, and the permeability of smaller molecules is in relation with their solubilities in nonpolar solvent relative to their solutilities in water. Water molecules are considered small molecules in this case so that water molecules are able to traverse lipid bilayers easily for its high concentration within the cells and lack of a complete charge on its molecule. Water molecules diffuse through the lipid bilayers through the process of osmosis from a region of high water concentraion (low solute concentration) to regions with low water concentration (high solute concentration), with no energy input required. Small molecules other than water throw off their solvation shells of water, dissolving in the hydrophobic core of membrane when they go into the bilayers, and then they diffuse through the core to the other side of the membrane—the hydrophilic region, where they are resolvated by water.
Ions are not likely to diffuse through the lipid bilayers in response to the amphipathic nature of membrane though. The replacement of their coordination shells of polar water molecules by nonpolar interactions with hydrophobic core of membrane interior is highly energetically unfavorable because the activation energy barrier is too high to overcome.
4. Noncovalent Interactions
For the phospholipid bilayer, even though it consists of hydrophilic heads on the outer membrane, the noncovalent hydrophobic tails of the inner membrane is the key to hold the entire membrane together because there are Van der Waals attractive forces within the cell membrane in which the hydrocarbon tails are closely packed together. With its noncovalent character inside the cell membrane, the hydrophobic molecules can easily pass through the cell membrane through passive diffusion. Despite this, the cell has control of the molecules' movement through transmembrane proteins complexes such as pores and gates. As for the hydrophilic molecules (such as ions, carbohydrates, proteins, amino acids, and nucleic acids), they require active diffusion in order to pass through the cell membrane because of their polarity and because they are hydrophilic (most noncovalent assemblies of the cell membrane are hydrophobic, such as hydrocarbon chains).
The noncovalent assemblies of the cell membrane can help give rise to bubbles such as liposome, or lipid vesicle, that can deliver drugs into a specific part of the body. The structure of liposome is very similar to the cell membrane's lipid bilayer, and the materials that compose the liposome is identical to cell membrane. Because liposome is a bubble, the cross-section is shaped like a ring, where the hydrophilic heads are the outer and inner ring while the hydrophobic tails are in between the hydrophilic heads' rings. Because of the ring structure, the liposomes are able to trap aqueous materials such as drugs into their rings. Once the materials are within the ring, the liposomes would deliver them to a specific location in the body, such as cancer cells.
5. Asymmetric
Because the cell contains two distinct environments, the possibility exists for distinct membrane surfaces as well. In fact, the inner and outer surfaces of membranes contain different proteins and have different functions. The asymmetry is maintained by the fact that rotation in the membrane is extremely unfavorable. The differences can be caused by the different ratios or types of amphipathic lipid-based molecules, the different positioning of the proteins (facing in or facing out), or the fixed orientations of proteins spanning the membrane. Additionally, there are different enzymatic activities in the outer and inner membrane surfaces.
The origin of the cell membrane asymmetry is when the proteins are synthesized by the preexisting membranes, they are inserted into the membrane in an asymmetric manner. The asymmetry of the cell membrane allows the membrane to maintain its integrity and allows the cell to have a different intracellular environment from the existing extracellular environment. Additionally, the cell membrane's phospholipids are distributed asymmetrically across the lipid bilayer, in a phenomenon called membrane phopholipid asymmetry.
There are three mechanisms for transmembrane movement of phospholipids: 1) spontaneous diffusion, 2) facilitated diffusion, 3) ATP-dependent active translocation.
The spontaneous diffusion is a form of passive transport. Because passive transport does not require energy to transport nonpolar substances through the membrane, this can happen spontaneously. Facilitated diffusion, like spontaneous diffusion, is a form of passive transport. The molecules or ions in this diffusion pass through the membrane by using specific transmembrane transport proteins.
6. Fluidity of Membrane

Because cell membrances are held together by hydrophobic interactions, which are weak enough to permit unlinking, cell membranes are not static sheets of lipid molecules. Membrane lipids are able to shift laterally, that is, they can move in the plane of the membrane. However, transverse diffusion across a membrane, or flip-flop, happens rarely because the energy barrier to switch one lipid molecule from one phospholipid layer to the other is too high since the hydrophilic head of the lipid molecule has to cross the hydrophobic core of the membrane. Flippases, a family of protein, help in the flip flop interactions of the phospholipids by catylyzing the reaction, making it faster and more energy favorable.
A membrane has two states of order, a rigid state and a fluid state. Rigid states are highly ordered, fairly straight states while the fluid state is much more disordered with bends and kinks. The transition from one state to the other depends on whether the temperature is above or below the melting temperature, Tm. The properties of this transition state consist of the fatty acid chains length and the degree of unsaturation due to double bond kinks.
Comparing phospholipids that have saturated hydrocarbon chains to that have unsaturated hydrocarbon tails, the lipids with saturated hydrocarbon chains tend to pack together more tightly, while cis and trans double bonds in unsaturated hydrocarbon tails produce branches in their molecular structure, keeping the lipids from packing closely, enhancing membrane fluidity. This is the primary method that bacteria maintain the fluidity of their cell membranes. The length of fatty acid chains is also a factor in membrane fluidity. There is more interaction between longer chains due to the favorable free energy of two adjacent chains of -2 kJ/mol per CH2 groups in the chains.

The presence of cholesterol also reduces membrane fluidity. Cholesterol is a steroid, containing four bulky hydrocarbon rings with a hydrophilic hydroxyl group at one end. In cell membranes, cholesterol is oriented parallel to the fatty acid chains of phospholipids, and its hydroxyl group will form hydrogen bond with the carbonyl oxygen of the nearby phospholipid head. The presence of cholesterol destroys the regular shape of the lipid bilayer, and hence interferes the noncovalent interactions among fatty acid chains. Therefore, the fluidity of the cell membrane decreases in the presence of cholesterol. This is the primary method by which eukaryotic cells vary the fluidity of their membrane.
- Experiment: Fluorescence Recovery After Photobleaching (FRAP)
FRAP is used to visualize the rapid lateral movement of membrance proteins. The cell-surface component is labeled with a fluorescent chromophore, and then the fluorescent molecules are destroyed (bleached) by an intense light. The fluorescent region is monitored as a function of time by using a lower level light to prevent further bleaching. The mobility of the labeled region is proved because the bleached molecules leave and unbleached ones come in, resulting in the increasing intensity of fluorescence.
7. Eletrically Polarized

Membranes are electrically polarized since there is often a voltage difference between the interior and exterior of the cell. The cell plasma membrane is very resistive to voltage change while the fluids within the cell and beyond the cell is highly conductive. This is an important factor to cell transport and communication.
The polarization is a result of ion transporters in the membrane, whose role is to maintain a proportion of ions between the interior and exterior regions of the cell. For voltages to occur there must be a separation of electric charges across the resistive membrane. In the case of cell membranes, there is a separation of sodium ions from anions of the inner membrane as well as a concentration gradient of potassium ions between the inner and outer regions of the cell. To prevent this gradient from dissipating, ion transporters, also known as pumps, constantly pump out ions to maintain the gradient with the aid of ATP as an energy source.
Although this separation of ions uses up energy, the resulting potential is utilized for many processes of the cell. The potential can transport other ions of metabolites or initiate communication, for example the action potential in neurons of the nervous system. This property of cell membrane is vital not only to the membrane itself, but also to the life of the cell.
Lipid Vesicles
Lipid vesicles (or liposomes) are small, intracellular, membrane-enclosed bubbles of liquid within a cell. They are formed because of the properties of lipid membranes, where the hydrophobic chains are packed together so they are not in contact with the aqueous solution. A single bilayer separates the vesicle from the cytosol. Vesicles that have only one bilayer are called unilamellar vesicles. If they have more than one bilayer, they are called multilamellar vesicles. Vesicles are used to store, transport, digest products and waste at a cellular level, and organize cellular structure where there is a specific type of vesicle that does each function. The membranes surrounding the vesicles are similar to the plasma membrane of its cell. As a result, the vesicle is able to fuse and pass through the plasma membrane in order to ingest or release contents from the cell. Some common vesicles are lysosomes, vacuoles, and transport vesicles. Lysosomes are used to “break down” substances, usually food or waste, in the cell, vacuoles are used to store food and control osmosis, and transport vesicles are used to transport molecules within the cell.
-
Simplified view of liposomes
-
Magnified view of liposomes
Liposomes can be artificially created by sonicating phospholipids in an aqueous solution. Sonication involves the agitation by high-frequency sound waves. Liposomes can be created to contain molecules by having the molecules dissolved in the aqueous solvent. For example, Glycine can be dissolved in water with a phospholipid layer in the bottom of a beaker. After sonification, the solution is gel filtrated to remove any loose glycine that were still in solution. After this, there is only the aqueous solvent with the liposomes.
Liposomes can be used for therapeutic purposes. Liposomes can carry drugs or can be used to carry genes for gene-therapy. By using liposomes, it lessens the toxicity of the drug. Liposomes deliver drugs and DNA by fusing with the plasma membranes of the target cell.
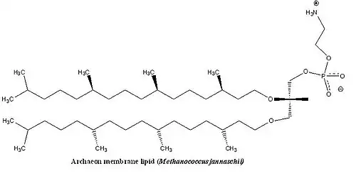
Archea versus Bacteria and Eukarya

There are two major factors that differentiate the domains Archea and Bacteria, they are: phospholipids in Archean's cell membranes consist of ether linkages and fatty acid hydrocarbon chains that are completely saturated and branched with a methyl group every 5 carbons. These simple structural differences provide Archeabacteria a way to survive the drastic differences in environment (compared to the environment bacteria are found in). The increase in survivability is conferred through two factors which affect the chemical properties of Archeabacteria membranes. The membranes are :
1. More resistant to hydrolysis (ether versus ester linkages)
2. Resistant to oxidation (branched saturated hydrocarbon chains)
Another difference with Archea phospholipids is that the glycerol platform is inverted. However, this inversion is a structural difference that has little effect on its resistance to harsh environments.
Lipidomics
Lipidomics is an essential study involved in metabolomics and is the analysis of the structure and function of a living organism's lipids. Further studies have the potential to reveal the role of lipids in diseases like cancer. Mass spectometry is utilized often in lipidomics.