Actinidine

Actinidine
Structural formula of actinidine
Structural formula of actinidine
Space-filling
Space-filling
Names
Preferred IUPAC name
(7S)-4,7-Dimethyl-6,7-dihydro-5H-cyclopenta[c]pyridine
Identifiers
3D model (JSmol)
81308
ChEBI
ChemSpider
KEGG
UNII
  • InChI=1S/C10H13N/c1-7-3-4-9-8(2)5-11-6-10(7)9/h5-7H,3-4H2,1-2H3/t7-/m0/s1 checkY
    Key: ZHQQRIUYLMXDPP-ZETCQYMHSA-N checkY
  • InChI=1/C10H13N/c1-7-3-4-9-8(2)5-11-6-10(7)9/h5-7H,3-4H2,1-2H3/t7-/m0/s1
    Key: ZHQQRIUYLMXDPP-ZETCQYMHBZ
  • C[C@@H](CC1)C2=C1C(C)=CN=C2
  • n1cc(c2c(c1)[C@H](CC2)C)C
Properties
C10H13N
Molar mass 147.221 g·mol−1
Melting point < 25 °C (77 °F; 298 K)
Boiling point 100 to 103 °C (212 to 217 °F; 373 to 376 K) at 9 mmHg[1]
Except where otherwise noted, data are given for materials in their standard state (at 25 °C [77 °F], 100 kPa).
☒N verify (what is checkY☒N ?)
Infobox references

Actinidine is an iridoid produced in nature by a wide variety of plants and animals. It was the first cyclopentanoid monoterpene alkaloid to be discovered.[2] It is one of several compounds that may be extracted from the valerian (Valeriana officinalis) root[3] and silver vine (Actinidia polygama), as well as several types of insects in the larval and imaginal stages.[4] Actinidine is a cat attractant, with effects like those of nepetalactone, the active compound found in catnip.[5]

Certain species of stick insects, including Megacrania batesii and Megacrania tsudai, possess a chemical defense mechanism which involves the secretion of an actinidine-containing substance from the prothoracic glands, when threatened by a predator.[6]

Biosynthesis

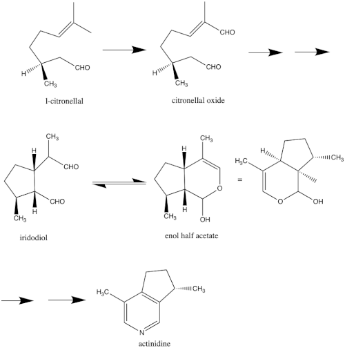
A potential biosynthesis of actinidine from L-citronellal is shown below.[7]

References

  1. ^ Sakan T (1959). "On the Structure of Actinidine and Matatabilactone, the Effective Components of Actinidia polygama". Bulletin of the Chemical Society of Japan. 32 (3): 315–316. doi:10.1246/bcsj.32.315.
  2. ^ Tsutsui M, Tsutsui EA (1959). "Diterpenoids". Chemical Reviews. 59 (6): 1031–1075. doi:10.1021/cr50030a003.
  3. ^ Janot MM, Guilhem J, Contz O, Venera G, Cionga E (1979). "Contribution to the study of valerian alcaloids (Valeriana officinalis L.): actinidine and naphthyridylmethylketone, a new alkaloid". Ann. Pharm. Fr. (in French). 37 (9–10): 413–20. PMID 547813.
  4. ^ Weibel DB, Oldham NJ, Feld B, Glombitza G, Dettner K, Boland W (2001). "Iridoid biosynthesis in staphylinid rove beetles (Coleoptera: Staphylinidae, Philonthinae)". Insect Biochemistry and Molecular Biology. 31 (6–7): 583–591. doi:10.1016/s0965-1748(00)00163-6. PMID 11267897.
  5. ^ Lichman BR, Godden GT, Hamilton JP, Palmer L, Kamileen MO, Zhao D, Vaillancourt B, Wood JC, Sun M, Kinser TJ, Henry LK (2020-05-01). "The evolutionary origins of the cat attractant nepetalactone in catnip". Science Advances. 6 (20): eaba0721. Bibcode:2020SciA....6..721L. doi:10.1126/sciadv.aba0721. ISSN 2375-2548. PMC 7220310. PMID 32426505.
  6. ^ Wu IH, Liu HH, Chen YY, Tsai CL, Yu YC, Hsiao CY, Yeh WB (2020). "Life cycles, phenology and genetic structure of endangered Megacrania tsudai Shiraki (Phasmatodea: Phasmatidae): Male individuals from a geographic parthenogenesis species". Entomological Science. 23 (2): 183–192. doi:10.1111/ens.12410. S2CID 216322536.
  7. ^ Funayama S, Cordell GA, eds. (2015). "14: Alkaloids Derived from Terpenoids". Alkaloids. Academic Press. pp. 233–255.