Alloxan
| |||
Names | |||
---|---|---|---|
Preferred IUPAC name
5,5-Dihydroxypyrimidine-2,4,6(1H,3H,5H)-trione | |||
Other names
5,5-Dihydroxybarbituric acid
| |||
Identifiers | |||
3D model (JSmol)
|
|||
ChEBI | |||
ChEMBL | |||
ChemSpider | |||
ECHA InfoCard | 100.000.057 | ||
EC Number |
| ||
MeSH | Alloxan | ||
PubChem CID
|
|||
UNII |
| ||
CompTox Dashboard (EPA)
|
|||
| |||
| |||
Properties | |||
C4H4N2O5 (monohydrate) | |||
Molar mass | 160.07 g/mol | ||
Appearance | pale yellow solid | ||
Density | 1.639 g/cm3 (anhydrous) | ||
Melting point | 254 °C (489 °F; 527 K) (decomposition) | ||
0.29 g/100 mL[2] | |||
Hazards | |||
Safety data sheet (SDS) | MSDS | ||
Except where otherwise noted, data are given for materials in their standard state (at 25 °C [77 °F], 100 kPa).
Infobox references
|
Alloxan, sometimes referred to as alloxan monohydrate, is an organic compound with the formula OC(NHCO)2C(OH)2. It is classified as a derivative of pyrimidine. The anhydrous derivative OC(NHCO)2CO is also known, as well as a dimeric derivative. These are some of the earliest known organic compounds. They exhibit a variety of biological activities.
History and literature
The compound was discovered by Justus von Liebig and Friedrich Wöhler. It is one of the oldest named organic compounds. It was originally prepared in 1818 by Luigi Valentino Brugnatelli (1761-1818)[3][4] and was named in 1838 by Wöhler and Liebig.[5] The name "Alloxan" emerged from an amalgamation of the words "Allantoïn" and "Oxalsäure" (oxalic acid). The alloxan model of diabetes was first described in rabbits by Dunn, Sheehan and McLetchie in 1943.[6] The name is derived from allantoin, a product of uric acid excreted by the fetus into the allantois, and oxaluric acid derived from oxalic acid and urea, found in urine.
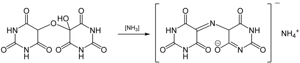
Alloxan was used in the production of the purple dye murexide, discovered by Carl Wilhelm Scheele in 1776. Murexide is the product of the complex in-situ multistep reaction of alloxantin and gaseous ammonia. Murexide results from the condensation of the unisolated intermediate uramil with alloxan liberated during the course of the reaction.
Murexide dye (right) from reaction of alloxantin (left)
Scheele sourced uric acid from human calculi (such as kidney stones) and called the compound lithic acid. William Prout investigated the compound in 1818 and he used boa constrictor excrement with up to 90% ammonium acid urate.
In the chapter "Nitrogen" of his memoir The Periodic Table, Primo Levi tells of his futile attempt to make alloxan for a cosmetics manufacturer who has read that it can cause permanent reddening of the lips. Levi considers the droppings of pythons as a source for uric acid for making alloxan, but he is turned down by the director of the Turin zoo because the zoo already has lucrative contracts with pharmaceutical companies, so he is obliged to use chickens as his source of uric acid. The synthesis fails, however, "and the alloxan and its resonant name remained a resonant name."[7]
Synthesis
It was originally obtained by oxidation of uric acid by nitric acid. It is prepared by oxidation of barbituric acid by chromium trioxide.[8]
Reactions
Hydrolysis
Alloxan is highly unstable in aqueous solution, undergoing hydrolysis to alloxanic acid. Under physiological conditions, alloxan has an estimated half-life of 1.5 minutes.[9]
Reduction
Alloxan may be reduced to dialuric acid, which has a reductone structure, similar to ascorbic acid (Vitamin C).[10] However, unlike ascorbic acid, alloxan and dialuric acid have strong pro-oxidant physiological effects.
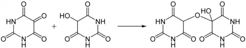
A dimeric derivative alloxantin can be prepared by partial reduction of alloxan with hydrogen sulfide.[2]
Alloxane (left) with dialuric acid (center) and alloxantin (right)
Alloxan monohydrate also undergoes one-electron reduction to form yellow salts containing a stable radical anion:[10]
- 2 C4H4N2O5 + 2 KCN → 2 [K+][C4H2N2O4•−] + (CN)2 + 2 H2O
Biological effects
Alloxan is a toxic glucose analogue, which selectively destroys insulin-producing cells in the pancreas (that is, beta cells) when administered to rodents and many other animal species. This causes an insulin-dependent diabetes mellitus (called "alloxan diabetes") in these animals, with characteristics similar to type 1 diabetes in humans. Alloxan is selectively toxic to insulin-producing pancreatic beta cells because it preferentially accumulates in beta cells through uptake via the GLUT2 glucose transporter. Studies suggest alloxan does not cause diabetes in humans.[11] Others found a significant difference in alloxan plasma levels in children with and without type 1 diabetes.[12]
Reactive oxygen species generation
Alloxan (C4H2N2O4) readily undergoes redox cycling with its one-electron (C4H3N2O4• semiquinone) and two-electron (dialuric acid, C4H4N2O4) reduction products.[13] In the presence of intracellular reductants such as glutathione (or other thiols), this generates reactive oxygen species (ROS) via interaction of alloxan reduction products with molecular oxygen and other redox-active species.[11] The beta cell toxic action of alloxan is initiated by free radicals formed in these redox reactions:[11]
- C4H2N2O4 + GSH → C4H3N2O4• + GS•
- C4H3N2O4• + GSH → C4H4N2O4 + GS•
- C4H4N2O4 + O2 → C4H3N2O4• + O2•− + H+
- C4H3N2O4• + O2 → C4H2N2O4 + O2•− + H+
Impact upon beta cells
Because it selectively kills the insulin-producing beta-cells found in the pancreas, alloxan is used to induce diabetes in laboratory animals.[14][15] This occurs most likely because of selective uptake of the compound due to its structural similarity to glucose as well as the beta-cell's highly efficient uptake mechanism (GLUT2). In addition, alloxan has a high affinity to SH-containing cellular compounds and, as a result, reduces glutathione content. Furthermore, alloxan inhibits glucokinase, a SH-containing protein essential for insulin secretion induced by glucose.[16]
Most studies have shown that alloxan is not toxic to the human beta-cell, even in very high doses, probably because of differing glucose uptake mechanisms in humans and rodents.[17][18]
Alloxan is, however, toxic to the liver and the kidneys in high doses, as these are tissues where the GLUT2 transporter is expressed in humans.[11]
See also
References
- ^ Merck Index, 11th Edition, 281.
- ^ a b Tipson, R. S. (1953). "Alloxantin dihydrate". Organic Syntheses. 33: 3; Collected Volumes, vol. 4, p. 25.
- ^ Luigi Valentino Brugnatelli; also cited as: Luigi Gaspari Brugnatelli and Luigi Vincenzo Brugnatelli.
- ^ See:
- Gaspare Brugnatelli (1818) "Sopra i cangiamenti che avvengono nell' ossiurico (ac. urico) trattato coll' ossisettonoso (ac. nitroso)" (On the changes that occur in uric acid (uric acid) treated with nitric acid (nitric acid)), Giornale di Fisica, Chimica, Storia Naturale, Medicina, ed Arti, 2nd series, 1 : 117-129. Brugnatelli called it ossieritrico (erythric acid) [p. 117].
- (Gaspard Brugnatelli) (1818) "Sur un acide nouveau obtenu en traitant l'acide urique par acid nitrique" (On a new acide obtained by treating uric acid with nitric acid), Annales de Chimie et de Physique, 2nd series, 8 : 201-204.
- ^ F. Wöhler und J. Liebig (1838) "Untersuchungen über die Natur der Harnsäure" (Investigations into the nature of uric acid), Annalen der Chemie und Pharmacie, 26 : 241-340. Alloxan is named on p. 252 and its preparation and properties appear on pp. 256 ff.
- ^ Dunn, J. S.; Sheehan, H. L.; McLetchie, N. G. B. (1943). "Necrosis of Islets of Langerhans Produced Experimentally". Lancet. 241 (6242): 484–487. doi:10.1016/S0140-6736(00)42072-6.
- ^ Primo Levi, The Periodic Table (New York: Schocken, 1984), translated by Raymond Rosenthal, 183.
- ^ Holmgren, A. V.; Wenner, W. (1952). "Alloxan monohydrate". Organic Syntheses. 32: 6; Collected Volumes, vol. 4, p. 23.
- ^ Lenzen, Sigurd [in German]; Munday, Rex (September 1991). "Thiol-group reactivity, hydrophilicity and stability of alloxan, its reduction products and its N-methyl derivatives and a comparison with ninhydrin". Biochemical Pharmacology. 42 (7): 1385–1391. doi:10.1016/0006-2952(91)90449-F.
- ^ a b Endo, Takeshi; Kudo, Akira; Okawara, Makoto (1 November 1979). "Reduction of Alloxan by Cyanide Ion. Isolation of Alloxan Radical Anion Salts and Alloxantin". Bulletin of the Chemical Society of Japan. 52 (11): 3473–3474. doi:10.1246/bcsj.52.3473.
- ^ a b c d Lenzen, S. (2008). "The Mechanisms of Alloxan- and Streptozotocin-induced Diabetes". Diabetologia. 51 (2): 216–226. doi:10.1007/s00125-007-0886-7. PMID 18087688.
- ^ Mrozikiewicz, A.; Kielstrokczewska-Mrozikiewicz, D.; Lstrokowicki, Z.; Chmara, E.; Korzeniowska, K.; Mrozikiewicz, P. M. (1994). "Blood Levels of Alloxan in Children with Insulin-dependent Diabetes Mellitus". Acta Diabetologica. 31 (4): 236–237. doi:10.1007/bf00571958. PMID 7888696. S2CID 12726659.
- ^ Czerwiñska, Małgorzata; Sikora, Adam; Szajerski, Piotr; Adamus, Jan; Marcinek, Andrzej; Gȩbicki, Jerzy; Bednarek, Paweł (1 June 2006). "Mechanistic Aspects of Alloxan Diabetogenic Activity: A Key Role of Keto−Enol Inversion of Dialuric Acid on Ionization". The Journal of Physical Chemistry A. 110 (22): 7272–7278. doi:10.1021/jp0614594.
- ^ Danilova I.G.; Sarapultsev P.A.; Medvedeva S.U.; Gette I.F.; Bulavintceva T.S.; Sarapultsev A.P. (2014). "Morphological Restructuring of Myocardium During the Early Phase of Experimental Diabetes Mellitus". Anat. Rec. 298 (2): 396–407. doi:10.1002/ar.23052. hdl:10995/73117. PMID 25251897. S2CID 205412167.
- ^ Alfredo Rigalli; Loreto, Veronica Di, eds. (2009-05-12). Experimental Surgical Models in the Laboratory Rat. Boca Raton: CRC Press. doi:10.1201/9781420093278. ISBN 978-0-429-14721-0.
- ^ Szkudelski T (2001). "The mechanism of alloxan and streptozotocin action in B cells of the rat pancreas". Physiol Res. 50 (6): 536–546. PMID 11829314.
- ^ Tyrberg, B.; Andersson, A.; Borg, L. A. (2001). "Species Differences in Susceptibility of Transplanted and Cultured Pancreatic Islets to the β-Cell Toxin Alloxan". General and Comparative Endocrinology. 122 (3): 238–251. doi:10.1006/gcen.2001.7638. PMID 11356036.
- ^ Eizirik, D. L.; Pipeleers, D. G.; Ling, Z.; Welsh, N.; Hellerström, C.; Andersson, A. (1994). "Major Species Differences between Humans and Rodents in the Susceptibility to Pancreatic β-Cell Injury". Proceedings of the National Academy of Sciences of the United States of America. 91 (20): 9253–9256. Bibcode:1994PNAS...91.9253E. doi:10.1073/pnas.91.20.9253. PMC 44790. PMID 7937750.
External links
- McLetchie, N. G. (2002). "Alloxan Diabetes, a Discovery, albeit a Minor one" (PDF). Journal of the Royal College of Physicians of Edinburgh. 32 (2): 134–142. PMID 12434795.
- The history and chemistry of the Murexide dye Archived 2013-05-05 at the Wayback Machine