CGP-7930
![]() | |
Identifiers | |
---|---|
| |
CAS Number | |
PubChem CID | |
IUPHAR/BPS | |
ChemSpider | |
UNII | |
CompTox Dashboard (EPA) | |
Chemical and physical data | |
Formula | C19H32O2 |
Molar mass | 292.463 g·mol−1 |
3D model (JSmol) | |
| |
| |
![]() ![]() |
CGP-7930 was the first positive allosteric modulator of GABAB receptors described in literature.[1][2][3][4] CGP7930 is also a GABAA receptor positive allosteric modulator and a blocker of Potassium channels.[5]
CGP7930 was developed in Novartis and has been used extensively for scientific research. It has anxiolytic effects in animal studies,[6][7] and has a synergistic effect with GABAB agonists such as baclofen and GHB,[8][9] as well as reducing self-administration of alcoholic drinks and cocaine.[10][11]
CNS Review:[12]
Synthesis
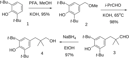
The chemical synthesis has been described:[13] Starting material:[14] Product of first step:[15][16]

2,6-Di-tert-butylphenol is treated with formaldehyde, base and methanol to give [87-97-8] (2). Base catalyzed reaction with isobutaldehyde gives CGP-13501 (3). Hydride reduction of the aldehyde gives the primary alcohol.

According to Krysin (Russia), 2,6-Di-tert-butylphenol is reacted with Neopentyl glycol with lye in an autoclave. Although 1 step reaction, yield was quoted as merely 15%.[17]
References
- ^ Urwyler S, Mosbacher J, Lingenhoehl K, Heid J, Hofstetter K, Froestl W, et al. (November 2001). "Positive allosteric modulation of native and recombinant gamma-aminobutyric acid(B) receptors by 2,6-Di-tert-butyl-4-(3-hydroxy-2,2-dimethyl-propyl)-phenol (CGP7930) and its aldehyde analog CGP13501". Molecular Pharmacology. 60 (5): 963–71. PMID 11641424.
- ^ Binet V, Brajon C, Le Corre L, Acher F, Pin JP, Prézeau L (July 2004). "The heptahelical domain of GABA(B2) is activated directly by CGP7930, a positive allosteric modulator of the GABA(B) receptor". The Journal of Biological Chemistry. 279 (28): 29085–91. doi:10.1074/jbc.M400930200. PMC 2557059. PMID 15126507.
- ^ Chen Y, Menendez-Roche N, Sher E (June 2006). "Differential modulation by the GABAB receptor allosteric potentiator 2,6-di-tert-butyl-4-(3-hydroxy-2,2-dimethylpropyl)-phenol (CGP7930) of synaptic transmission in the rat hippocampal CA1 area". The Journal of Pharmacology and Experimental Therapeutics. 317 (3): 1170–7. doi:10.1124/jpet.105.099176. PMID 16507713.
- ^ Adams CL, Lawrence AJ. "CGP7930: a positive allosteric modulator of the GABAB receptor". CNS Drug Reviews. 13 (3): 308–16. doi:10.1111/j.1527-3458.2007.00021.x. PMC 6494120. PMID 17894647.
- ^ Hannan SB, Penzinger R, Mikute G, Smart TG (July 2023). "CGP7930 - An allosteric modulator of GABABRs, GABAARs and inwardly-rectifying potassium channels" (PDF). Neuropharmacology. 109644. doi:10.1016/j.neuropharm.2023.109644. PMID 37422181.
- ^ Frankowska M, Filip M, Przegaliński E. "Effects of GABAB receptor ligands in animal tests of depression and anxiety". Pharmacological Reports. 59 (6): 645–55. PMID 18195453.
- ^ Jacobson LH, Cryan JF (April 2008). "Evaluation of the anxiolytic-like profile of the GABAB receptor positive modulator CGP7930 in rodents". Neuropharmacology. 54 (5): 854–62. doi:10.1016/j.neuropharm.2008.01.004. PMID 18328507.
- ^ Carai MA, Colombo G, Froestl W, Gessa GL (November 2004). "In vivo effectiveness of CGP7930, a positive allosteric modulator of the GABAB receptor". European Journal of Pharmacology. 504 (3): 213–6. doi:10.1016/j.ejphar.2004.10.008. PMID 15541424.
- ^ Parker DA, Marino V, Ong J, Puspawati NM, Prager RH (September 2008). "The CGP7930 analogue 2,6-di-tert-butyl-4-(3-hydroxy-2-spiropentylpropyl)-phenol (BSPP) potentiates baclofen action at GABA(B) autoreceptors". Clinical and Experimental Pharmacology & Physiology. 35 (9): 1113–5. doi:10.1111/j.1440-1681.2008.04948.x. PMID 18430050.
- ^ Liang JH, Chen F, Krstew E, Cowen MS, Carroll FY, Crawford D, et al. (April 2006). "The GABA(B) receptor allosteric modulator CGP7930, like baclofen, reduces operant self-administration of ethanol in alcohol-preferring rats". Neuropharmacology. 50 (5): 632–9. doi:10.1016/j.neuropharm.2005.11.011. PMID 16406445.
- ^ Filip M, Frankowska M, Przegaliński E (November 2007). "Effects of GABA(B) receptor antagonist, agonists and allosteric positive modulator on the cocaine-induced self-administration and drug discrimination". European Journal of Pharmacology. 574 (2–3): 148–57. doi:10.1016/j.ejphar.2007.07.048. PMID 17698060.
- ^ Ong, J., Kerr, D. I. B. (September 2005). "Clinical Potential of GABA B Receptor Modulators". CNS Drug Reviews. 11 (3): 317–334. doi:10.1111/j.1527-3458.2005.tb00049.x.
- ^ Kerr, David I. B.; Khalafy, Jabbar; Ong, Jennifer; Perkins, Michael V.; Prager, Rolf H.; Puspawati, Ni Made; Rimaz, Mehdi (2006). "Synthesis and Biological Activity of Allosteric Modulators of GABABReceptors, Part 2. 3-(2,6-Bis-tert-butyl-4-hydroxyphenyl)propanols". Australian Journal of Chemistry. 59 (7): 457. doi:10.1071/CH06164.
- ^ Richard Henry Kline, EP0027426 (1983 to The Goodyear Tire & Rubber Company).
- ^ Kharasch, M. S., Joshi, B. S. (November 1957). "Reactions of Hindered Phenols. I. Reactions of 4,4'-Dihydroxy-3,5,3',5'-tetra-tert-butyl Diphenylmethane *". The Journal of Organic Chemistry. 22 (11): 1435–1438. doi:10.1021/jo01362a033.
- ^ Rimaz, M., Khalafy, J., Badali, M., Ślepokura, K., Lis, T., Souldozi, A., Ramazani, A., Joo, S. W. (February 2013). "Single crystal X-ray structure of 2,6-di-tert-butyl-4-(3-(4-chlorophenyl)-4-methyl-4,5-dihydroisoxazol-5-yl)phenol 1,4-dioxane hemisolvate". Journal of Structural Chemistry. 54 (1): 217–222. doi:10.1134/S0022476613010368.
- ^ Krysin, A. P.; Pustovskikh, I. I.; Koptyug, V. A. (2010). "Synthesis of 4-(ω-hydroxyalkyl)-2,6-di-tert-butylphenols and the properties of related sulfides". Russian Journal of General Chemistry. 80 (10): 2001–2006. doi:10.1134/S1070363210100208.