Cadexomer iodine

Cadexomer iodine
Clinical data
AHFS/Drugs.comInternational Drug Names
ATC code
Identifiers
CAS Number
ChemSpider
  • none
 ☒NcheckY (what is this?)  (verify)

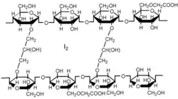
Cadexomer iodine is an iodophor that is produced by the reaction of dextrin with epichlorhydrin coupled with ion-exchange groups and iodine. It is a water-soluble modified starch polymer containing 0.9% iodine, calculated on a weight-weight basis, within a helical matrix.[1]

History

Cadexomer iodine was developed in the early 1980s in Sweden by Perstorp AB, and given the name Iodosorb. The product was shown to be effective in the treatment of venous ulcers.[2][3] More recently, it has been shown in studies in animals and humans that, unlike the iodophor povidone-iodine, Iodosorb causes an acceleration of the healing process in chronic human wounds. This is due to an increase in epidermal regeneration and epithelialization in both partial-thickness and full-thickness wounds.[4] In this way cadexomer iodine acts as a cicatrizant.

Properties

When formulated as a topical wound dressing, Iodosorb adsorbs exudate and particulate matter from the surface of granulating wounds and, as the dressing becomes moist, iodine is released. The product thus has the dual effect of cleansing the wound and exerting a bactericidal action. The bactericidal mechanism of cadexomer iodine is effective against methicillin-resistant Staphylococcus aureus (MRSA) and may prevent MRSA proliferation in the wound bed.[5] This is especially significant because bacteria populations have shown no sign of developing a resistance to iodine since it was first used for wound treatment in the middle of the 19th century.[6]

Uses

In addition to other manufacturers, Smith & Nephew distributes cadexomer iodine as Iodosorb and Iodoflex in many countries of the world for the treatment and healing of various types of wounds. The dosage forms are a paste dressing, an ointment and a gel, all of which contain 0.9% iodine. It is available in India under brand name Cadomer and is sold by JB Chemicals.[7]

See also

References

  1. ^ Merck Index, 14th Edition, p262 Merck & Co. Inc.
  2. ^ Skog E, Arnesjö B, Troëng T, Gjöres JE, Bergljung L, Gundersen J, et al. (July 1983). "A randomized trial comparing cadexomer iodine and standard treatment in the out-patient management of chronic venous ulcers". The British Journal of Dermatology. 109 (1): 77–83. doi:10.1111/j.1365-2133.1983.tb03995.x. PMID 6344906. S2CID 6759410.
  3. ^ Ormiston MC, Seymour MT, Venn GE, Cohen RI, Fox JA (August 1985). "Controlled trial of Iodosorb in chronic venous ulcers". British Medical Journal (Clinical Research Ed.). 291 (6491): 308–10. doi:10.1136/bmj.291.6491.308. PMC 1416577. PMID 3926169.
  4. ^ Drosou A, Falabella A, Kirsner R (May 2003). "Antiseptics on wounds: an area of controversy". Wounds. 15 (5): 149–66. Retrieved 3 February 2009.
  5. ^ Mertz PM, Oliveira-Gandia MF, Davis SC (February 1999). "The evaluation of a cadexomer iodine wound dressing on methicillin resistant Staphylococcus aureus (MRSA) in acute wounds". Dermatologic Surgery. 25 (2): 89–93. doi:10.1046/j.1524-4725.1999.08055.x. PMID 10037509.
  6. ^ Selvaggi G, Monstrey S, Van Landuyt K, Hamdi M, Blondeel P (June 2003). "The role of iodine in antisepsis and wound management: a reappraisal". Acta Chirurgica Belgica. 103 (3): 241–7. doi:10.1080/00015458.2003.11679417. PMID 12914356. S2CID 1391248.
  7. ^ "Cadomer(Cadexomer Iodine)-Physician Information Page". Medical Dialogues. 21 August 2020. Retrieved 21 August 2020.