Caleicine
![]() | |
![]() | |
Legal status | |
---|---|
Legal status |
|
Identifiers | |
CAS Number | |
PubChem CID | |
ChemSpider | |
ChEMBL | |
Chemical and physical data | |
Formula | C24H32O3 |
Molar mass | 368.517 g·mol−1 |
3D model (JSmol) | |
| |
|
Caleicine is a unique sesquiterpene compound found exclusively in Calea ternifolia, a Mexican flowering plant known for its potential psychoactive properties.[1] This compound has garnered interest in the field of ethnopharmacology and natural product chemistry due to its putative role as a prodrug of eugenol, a potent GABA positive modulator.
Caleicine is the p-Coumaric ester of junenol and has no lactone moiety making it distinctly unique from the other sesquiterpene lactones in Calea ternifolia.
Chemistry
Caleicine is a sesquiterpene that has a phenylpropanoid moiety bonded to junenol[2]
In an investigation, lab mice were administered with an aqueous solution of Calea ternifolia in doses of 200, 400 and 800 mg and made to undergo a forced swim test. Under dosages of 400 and 800 mg, the mice showed depressive like effects.[3]
Theorised Mechanism of action
The mechanisms of Calea ternifolia induced somnolence are not well understood, however, caleicine could play a role due to its potential metabolism.
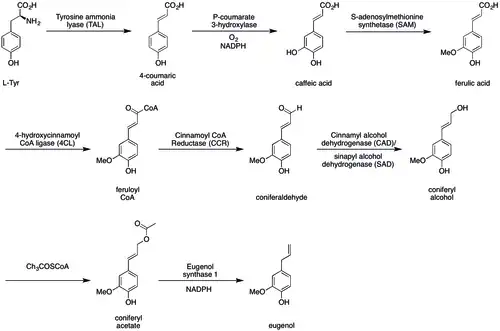
Caleicine contains p-Coumaric acid. In the body, p-Coumaric acid is biosynthesised into many lignols and phenylpropanoids including eugenol.

Eugenol acts as a positive allosteric modulator of the GABAA receptor which is common amongst oneirogens. In addition, eugenol inhibits both MAO-A and MAO-B, inhibiting the metabolism of serotonin, melatonin and dopamine.[4]
Eugenol is one of many potential metabolites of caleicine, and the mechanisms of both caleicine (specifically) and the herb Calea ternifolia (more broadly) are poorly understood.
Caleicine is a unique sesquiterpene compound found only in Calea ternifolia[1] and is one of many GABAergic compounds found in the plant and acts as a prodrug to the known bioactive and potent eugenol. Caleicine is a strong candidate to be responsible the effects of Calea ternifolia as the GABA modulation eugenol exhibits are the same that of Calea ternifolia.[5][6]
Negative side effects associated with Calea ternifolia include nausea, vomiting and delirium based hallucinations,[7] which are similar to those are similar to those associated with eugenol.[6]
GABA positive allosteric site modulation is found in many sedative substances such as methaqualone, propofol, ethanol, and zolpidem. The properties of GABA positive modulating substances typically are anxiolytic, anticonvulsant, oneirogenic, sedative, hypnotic, euphoriant, and muscle relaxant effects.
See also
References
- ^ a b Mata R, Contreras-Rosales AJ, Gutiérrez-González JA, Villaseñor JL, Pérez-Vásquez A (2022). "Calea ternifolia Kunth, the Mexican "dream herb", a concise review". Botany. 100 (2). Canadian Science Publishing: 261–274. doi:10.1139/cjb-2021-0063 – via ResearchGate.
- ^ "Junenol". PubChem. U.S. National Library of Medicine. Retrieved 2024-11-03.
- ^ Sałaga M (2016). "Neuropharmacological characterization of the oneirogenic Mexican plant Calea zacatechichi aqueous extract in mice". Metabolic Brain Disease: 5 – via ResearchGate.
- ^ Tsuchiya H (August 2017). "Anesthetic Agents of Plant Origin: A Review of Phytochemicals with Anesthetic Activity". Molecules. 22 (8): 1369. doi:10.3390/molecules22081369. PMC 6152143. PMID 28820497.
- ^ Díaz JL (1979). "Ethnopharmacology and taxonomy of Mexican psychodysleptic plants". Journal of Psychedelic Drugs. 11 (1–2): 71–101. doi:10.1080/02791072.1979.10472094. PMID 392121.
- ^ a b "Eugenol (Clove Oil)". LiverTox: Clinical and Research Information on Drug-Induced Liver Injury. Bethesda (MD): National Institute of Diabetes and Digestive and Kidney Diseases. 2012. PMID 31869191. Retrieved 2024-11-03.
- ^ "CALEA ZACATECHICHI: Overview, Uses, Side Effects, Precautions, Interactions, Dosing and Reviews". www.webmd.com. Retrieved 2024-11-03.