Carbazole

Carbazole
Names
Preferred IUPAC name
9H-Carbazole[1]
Other names
9-azafluorene
dibenzopyrrole
diphenylenimine
diphenyleneimide
USAF EK-600
Identifiers
3D model (JSmol)
3956
ChEBI
ChEMBL
ChemSpider
DrugBank
ECHA InfoCard 100.001.542
EC Number
  • 201-696-0
102490
KEGG
RTECS number
  • FE3150000
UNII
  • InChI=1S/C12H9N/c1-3-7-11-9(5-1)10-6-2-4-8-12(10)13-11/h1-8,13H checkY
    Key: UJOBWOGCFQCDNV-UHFFFAOYSA-N checkY
  • InChI=1/C12H9N/c1-3-7-11-9(5-1)10-6-2-4-8-12(10)13-11/h1-8,13H
    Key: UJOBWOGCFQCDNV-UHFFFAOYAV
  • c1ccc2c(c1)c3ccccc3[nH]2
Properties
C12H9N
Molar mass 167.211 g·mol−1
Density 1.301 g cm−3
Melting point 246.3 °C (475.3 °F; 519.5 K)[2]
Boiling point 354.69 °C (670.44 °F; 627.84 K)[2]
−117.4 × 10−6 cm3 mol−1
Hazards
GHS labelling:
GHS08: Health hazardGHS09: Environmental hazard
Warning
H341, H351, H400, H411, H413
P201, P202, P273, P281, P308+P313, P391, P405, P501
Flash point 220 °C (428 °F; 493 K)[2]
Except where otherwise noted, data are given for materials in their standard state (at 25 °C [77 °F], 100 kPa).
checkY verify (what is checkY☒N ?)
Infobox references

Carbazole is an aromatic heterocyclic organic compound. It has a tricyclic structure, consisting of two six-membered benzene rings fused on either side of a five-membered nitrogen-containing ring. The compound's structure is based on the indole structure, but in which a second benzene ring is fused onto the five-membered ring at the 2–3 position of indole (equivalent to the 9a–4a double bond in carbazole, respectively).

Carbazole is a constituent of tobacco smoke.[3]

History

Carl Graebe and Carl Glaser first isolated the compound from coal tar in 1872.[4]

Production

Few carbazole production methods are economically viable, due to limited demand. During coal tar distillation, carbazole concentrates in the anthracene distillate and must be removed before anthraquinone production; that waste product is the major industrial carbazole source.[4][5] Polar compounds (e.g., ketones) selectively precipitate it from the anthracene; a more modern technique is simply selective crystallization from molten coal tar at high temperature[4] or low pressure (70 mmHg).[6]

A classic laboratory organic synthesis for carbazole is the Borsche–Drechsel cyclization.[7][8]

Borsche–Drechsel synthesis
Borsche–Drechsel synthesis

In the first step, phenylhydrazine is condensed with cyclohexanone to the corresponding imine. The second step is a hydrochloric acid-catalyzed rearrangement reaction and ring-closing reaction to tetrahydrocarbazole. In one modification, both steps are rolled into one by carrying out the reaction in acetic acid.[9] In the third step, this compound is oxidized by red lead to carbazole itself.

Another classic is the Bucherer carbazole synthesis, which uses a naphthol and an aryl hydrazine.[10]

Bucherer carbazole synthesis
Bucherer carbazole synthesis

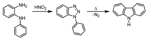
A third method for the synthesis of carbazole is the Graebe–Ullmann reaction.

Graebe–Ullmann reaction
Graebe–Ullmann reaction

In the first step, an N-phenyl-1,2-diaminobenzene (N-phenyl-o-phenylenediamine) is converted into a diazonium salt which instantaneously forms a 1,2,3-triazole. The triazole is unstable and at elevated temperatures, nitrogen is released and the carbazole is formed.[11][12]

Fluorescence of (9H-carbazol-9-yl)(2,4-dichlorophenyl) methanone

Diphenylamine derivatives, being electron rich, naturally oxidize to carbazoles when heated in air.[13] A similar reaction is the Mallory reaction:

Substituted carbazoles are most easily synthesized with transition metal coupling reactions. For applications that transition-metal impurities in the final product might inhibit, an alternative is nucleophilic aromatic substitution on dibenzothiophene dioxide.[14]

Natural Occurrence

Carbazoles occur naturally in carbazole alkaloids. Carbazole alkaloids with unsubstituted benzene rings occur rarely. Olivacin has been found in the bark of Aspidosperma olivaceum and ellipticin in Ochrosia elliptica.[15] Some carbazole alkaloids, especially glybomin B, have been isolated from Glycosmis pentaphylla.[16][17]

Applications

As carbazoles have a relatively rich UV-visible light spectrum, they see application as pigments[4] and photocatalysts.[18] The parent carbazole is used in Hydron Blue production[4] and aminoethylcarbazole is used in pigment violet 23 production.[19]

Pigment Violet 23 synthesis

Carbazoles stabilize triplet emitters in certain light-emitting diodes;[4] in general, they are electron photodonors (hole acceptors).[20]

Carbazole electrochemically oxidizes to a conductive polymer, which has not achieved substantial industrial use.[21] Polyvinylcarbazole is useful in the electrical and electronic industries, and certain carbazole novolaks are extremely heat resistant.[4]

In organic chemistry, carbazole proper is also an ingredient for several bioactive molecules. The insecticide Nirosan,[4] the cocaine overdose antidote Rimcazole, and the veterinary NSAID Carprofen are all made from carbazole. The topoisomerase II inhibitor ellipticine fuses carbazole to a pyridine ring.

See also

References

  1. ^ International Union of Pure and Applied Chemistry (2014). Nomenclature of Organic Chemistry: IUPAC Recommendations and Preferred Names 2013. The Royal Society of Chemistry. p. 212. doi:10.1039/9781849733069. ISBN 978-0-85404-182-4.
  2. ^ a b c Lide DR (2007). CRC Handbook of Chemistry and Physics (88th ed.). CRC Press. pp. 3–86. ISBN 978-0-8493-0488-0.
  3. ^ Talhout R, Schulz T, Florek E, van Benthem J, Wester P, Opperhuizen A (February 2011). "Hazardous compounds in tobacco smoke". International Journal of Environmental Research and Public Health. 8 (2): 613–628. doi:10.3390/ijerph8020613. PMC 3084482. PMID 21556207.
  4. ^ a b c d e f g h Collin G, Höke H, Talbiersky J. "Carbazole". Ullmann's Encyclopedia of Industrial Chemistry. Weinheim: Wiley-VCH. doi:10.1002/14356007.a05_059.pub2. ISBN 978-3-527-30673-2.
  5. ^ Cofrancesco AJ, "Anthraquinone", Kirk-Othmer Encyclopedia of Chemical Technology, New York: John Wiley, p. 5, doi:10.1002/0471238961.0114200803150618.a01, ISBN 9780471238966
  6. ^ Betts WD, "Tar and Pitch", Kirk-Othmer Encyclopedia of Chemical Technology, New York: John Wiley, p. 5, doi:10.1002/0471238961.20011802052020.a01, ISBN 9780471238966
  7. ^ Borsche W (1908). Witte A, Bothe W (eds.). "Ueber Tetra- und Hexahydrocarbazolverbindungen und eine neue Carbazolsynthese". Justus Liebigs Ann. Chem. (in German). 359 (1–2): 49–80. doi:10.1002/jlac.19083590103.
  8. ^ Drechsel E (1888). "Ueber Elektrolyse des Phenols mit Wechselströmen". J. Prakt. Chem. (in German). 38 (1): 65–74. doi:10.1002/prac.18880380105.
  9. ^ Rogers CU, Corson BB (1950). "1,2,3,4-Tetrahydrocarbazole (Carbazole, 1,2,3,4-tetrahydro-)". Organic Syntheses. 30: 90. doi:10.15227/orgsyn.030.0090; Collected Volumes, vol. 4, p. 884.
  10. ^ Wang Z (2010). "Bucherer Carbazole Synthesis". Comprehensive Organic Name Reactions and Reagents. pp. 549–552. doi:10.1002/9780470638859.conrr120. ISBN 9780470638859.
  11. ^ Graebe C, Ullman F (1896). "Ueber eine neue Carbazolsynthese". Justus Liebigs Ann. Chem. (in German). 291 (1): 16–17. doi:10.1002/jlac.18962910104.
  12. ^ Bremer O (1934). "Über die Bedeutung der Graebe-Ullmannschen Carbazolsynthese und deren Übertragung auf N-substituierte Pyridino-triazole". Justus Liebigs Ann. Chem. (in German). 514 (1): 279–291. doi:10.1002/jlac.19345140116.
  13. ^ Vogt PF, Gerulis JJ. "Amines, Aromatic". Ullmann's Encyclopedia of Industrial Chemistry. Vol. 2. Weinheim: Wiley-VCH. p. 703. doi:10.1002/14356007.a02_037. ISBN 978-3-527-30673-2.
  14. ^ Bhanuchandra M, Hideki Y. "Dibenzothiophene 5,5-dioxide". Encyclopedia of Reagents for Organic Synthesis. doi:10.1002/047084289X.rn02046.
  15. ^ Breitmaier E (1997), Alkaloide, Wiesbaden: Springer Fachmedien, p. 49, ISBN 978-3-519-03542-8
  16. ^ Chen Y, Tang C, Wu Y, Mo S, Wang S, Yang G, et al. (June 2015). "Glycosmisines A and B: isolation of two new carbazole-indole-type dimeric alkaloids from Glycosmis pentaphylla and an evaluation of their antiproliferative activities". Organic & Biomolecular Chemistry. 13 (24): 6773–6781. doi:10.1039/c5ob00695c. PMID 26008648.
  17. ^ Tan MA, Sharma N, An SS (March 2022). "Phyto-Carbazole Alkaloids from the Rutaceae Family as Potential Protective Agents against Neurodegenerative Diseases". Antioxidants. 11 (3). Basel, Switzerland: 493. doi:10.3390/antiox11030493. PMC 8944741. PMID 35326143.
  18. ^ Rizzo CJ (2005). "N-Methylcarbazole". N -Methylcarbazole. Encyclopedia of Reagents for Organic Synthesis. doi:10.1002/047084289X.rn00578. ISBN 0-471-93623-5.
  19. ^ US 4345074, Hufnagel T, Hetschko M, "Process for the manufacture of a violet organic pigment, C.I. Pigment Violet 23", issued 17 August 1982, assigned to Sanofi Aventis Deutschland GmbH 
  20. ^ Wang Y, "Photoconductive polymers", Kirk-Othmer Encyclopedia of Chemical Technology, New York: John Wiley, p. 15, doi:10.1002/0471238961.1608152023011407.a01, ISBN 9780471238966
  21. ^ Naarmann H. "Polymers, Electrically conducting". Ullmann's Encyclopedia of Industrial Chemistry. Vol. 29. Weinheim: Wiley-VCH. p. 309. doi:10.1002/14356007.a21_429. ISBN 978-3-527-30673-2.