Clamoxyquine
![]() | |
Clinical data | |
---|---|
ATC code |
|
Identifiers | |
| |
CAS Number | |
PubChem CID | |
ChemSpider | |
UNII | |
ChEMBL | |
CompTox Dashboard (EPA) | |
Chemical and physical data | |
Formula | C17H24ClN3O |
Molar mass | 321.85 g·mol−1 |
3D model (JSmol) | |
|
Clamoxyquine (INN) or clamoxyquin (former BAN), as the pamoate or hydrochloride salt, is an antiamebic and antidiarrheal drug.
It has been used as a veterinary medicine to treat salmonids for infection with the myxozoan parasite Myxobolus cerebralis.
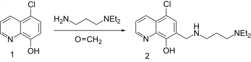
Synthesis
Antimalarial activity also predominates in a quinoline that bears a diaminoalkyl side chain at a rather different position from the other agents noted.

Thus, Mannich condensation of the hydroxyquinoline (1) with formaldehyde and N,N-diethylpropylenediamine affords clamoxyquin (2).
References
- ^ Burckhalter JH, Brinigar WS, Thompson PE (1961). "Antiamebic Agents. V.1Promising Basic Amebicides Derived from 5-Chloro-8-quinolinol". The Journal of Organic Chemistry. 26 (10): 4070–4078. doi:10.1021/jo01068a103.