Glutathione reductase
GSR | |||||||||||||||||||||||||||||||||||||||||||||||||||
---|---|---|---|---|---|---|---|---|---|---|---|---|---|---|---|---|---|---|---|---|---|---|---|---|---|---|---|---|---|---|---|---|---|---|---|---|---|---|---|---|---|---|---|---|---|---|---|---|---|---|---|
![]() | |||||||||||||||||||||||||||||||||||||||||||||||||||
| |||||||||||||||||||||||||||||||||||||||||||||||||||
Identifiers | |||||||||||||||||||||||||||||||||||||||||||||||||||
Aliases | GSR, HEL-75, HEL-S-122m, glutathione reductase, glutathione-disulfide reductase, GR, GSRD | ||||||||||||||||||||||||||||||||||||||||||||||||||
External IDs | OMIM: 138300; MGI: 95804; HomoloGene: 531; GeneCards: GSR; OMA:GSR - orthologs | ||||||||||||||||||||||||||||||||||||||||||||||||||
| |||||||||||||||||||||||||||||||||||||||||||||||||||
| |||||||||||||||||||||||||||||||||||||||||||||||||||
| |||||||||||||||||||||||||||||||||||||||||||||||||||
| |||||||||||||||||||||||||||||||||||||||||||||||||||
| |||||||||||||||||||||||||||||||||||||||||||||||||||
Wikidata | |||||||||||||||||||||||||||||||||||||||||||||||||||
|
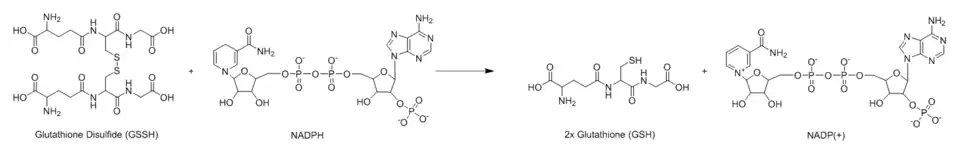
Glutathione reductase (GR) also known as glutathione-disulfide reductase (GSR) is an enzyme that in humans is encoded by the GSR gene. Glutathione reductase (EC 1.8.1.7) catalyzes the reduction of glutathione disulfide (GSSG) to the sulfhydryl form glutathione (GSH), which is a critical molecule in resisting oxidative stress and maintaining the reducing environment of the cell.[5][6][7] Glutathione reductase functions as dimeric disulfide oxidoreductase and utilizes an FAD prosthetic group and NADPH to reduce one molar equivalent of GSSG to two molar equivalents of GSH:
The glutathione reductase is conserved between all kingdoms. In bacteria, yeasts, and animals, one glutathione reductase gene is found; however, in plant genomes, two GR genes are encoded. Drosophila and trypanosomes do not have any GR at all.[8] In these organisms, glutathione reduction is performed by either the thioredoxin or the trypanothione system, respectively.[8][9]
Function
glutathione-disulfide reductase | |||||||||
---|---|---|---|---|---|---|---|---|---|
Human GSR with bound glutathione and FADH | |||||||||
Identifiers | |||||||||
EC no. | 1.8.1.7 | ||||||||
CAS no. | 9001-48-3 | ||||||||
Databases | |||||||||
IntEnz | IntEnz view | ||||||||
BRENDA | BRENDA entry | ||||||||
ExPASy | NiceZyme view | ||||||||
KEGG | KEGG entry | ||||||||
MetaCyc | metabolic pathway | ||||||||
PRIAM | profile | ||||||||
PDB structures | RCSB PDB PDBe PDBsum | ||||||||
Gene Ontology | AmiGO / QuickGO | ||||||||
|
Glutathione plays a key role in maintaining proper function and preventing oxidative stress in human cells. It can scavenge hydroxyl radicals, singlet oxygen, and various electrophiles. Reduced glutathione reduces the oxidized form of the enzyme glutathione peroxidase, which in turn reduces hydrogen peroxide (H2O2), a dangerously reactive species within the cell. In addition, it plays a key role in the metabolism and clearance of xenobiotics, acts as a cofactor in certain detoxifying enzymes, participates in transport, and regenerates antioxidants such and Vitamins E and C to their reactive forms. The ratio of GSSG/GSH present in the cell is a key factor in properly maintaining the oxidative balance of the cell, that is, it is critical that the cell maintains high levels of the reduced glutathione and a low level of the oxidized glutathione disulfide. This narrow balance is maintained by glutathione reductase, which catalyzes the reduction of GSSG to GSH.[5]

Structure
Glutathione reductase from human erythrocytes is a homodimer consisting of 52kDa monomers, each containing 3 domains. GR exhibits single sheet, double layered topology where an anti-parallel beta-sheet is largely exposed to the solvent on one face while being covered by random coils on the other face.[10] This includes and NADPH-binding Domain, FAD-binding domain(s) and a dimerization domain. Each monomer contains 478 residues and one FAD molecule. GR is a thermostable protein, retaining function up to 65 °C.[11][12]
Reaction mechanism
Steps:
1 | NADPH binding to the oxidized enzyme |
2 | Reduction of FAD to FADH− anion by NADPH |
3 | Reduced FADH− anion collapses into a charge relay complex and reduces Cys58-Cys63 disulfide |
4 | Oxidized Glutathione disulfide binds to the reduced enzyme and forms a mixed disulfide with Cys58 and releases one reduced glutathione |
5 | Cys63 attacks the mixed disulfide on Cys58 to release a reduced glutathione and reform the redox active disulfide |
Reductive half
The action of GR proceeds through two distinct half reactions, a reductive half mechanism followed by an oxidative half. In the first half, NADPH reduces FAD present in GSR to produce a transient FADH− anion. This anion then quickly breaks a disulfide bond of Cys58 - Cys63, forming a short lived covalent bond a stable charge-transfer complex between the flavin and Cys63. The now oxidized NADP+ is released and is subsequently replaced by a new molecule of NADPH. This is the end of the so-called reductive half of the mechanism.
Oxidative half
In the oxidative half of the mechanism, Cys63 nucleophilically attacks the nearest sulfide unit in the GSSG molecule (promoted by His467), which creates a mixed disulfide bond (GS-Cys58) and a GS− anion. His467 of GSR then protonates the GS- anion to release the first molecule of GSH. Next, Cys63 nucleophilically attacks the sulfide of Cys58, releasing a GS− anion, which, in turn, picks up a solvent proton and is released from the enzyme, thereby creating the second GSH. So, for every GSSG and NADPH, two reduced GSH molecules are gained, which can again act as antioxidants scavenging reactive oxygen species in the cell.[13]
Inhibition
In vitro, glutathione reductase is inhibited by low concentrations of sodium arsenite and methylated arsenate metabolites, but in vivo, significant Glutathione Reductase inhibition by sodium arsenate has only been at 10 mg/kg/day.[14] Glutathione reductase is also inhibited by some flavanoids, a class of pigments produced by plants.[15]
Clinical significance
GSH is a key cellular antioxidant and plays a major role in the phase 2 metabolic clearance of electrophilic xenobiotics. The importance of the GSH pathway and enzymes that affect this delicate balance is gaining an increased level of attention in recent years. Although glutathione reductase has been an attractive target for many pharmaceuticals, there have been no successful glutathione reductase related therapeutic compounds created to date. In particular, glutathione reductase appears to be a good target for anti-malarials, as the glutathione reductase of the malaria parasite Plasmodium falciparum has a significantly different protein fold than that of mammalian glutathione reductase.[16] By designing drugs specific to p. falciparum it may be possible to selectively induce oxidative stress in the parasite, while not affecting the host.
There are two main classes of GR targeting compounds:[17][18][19][20]
- Inhibitors of GSSG binding, or dimerization: Reactive electrophiles such as gold compounds, and fluoronaphthoquinones.
- Drugs which use glutathione reductase to regenerate, such as redox cyclers. Two examples of these types of compounds are Methylene blue and Naphthoquinone.
Clinical trials performed in Burkina Faso have revealed mixed results when treating malaria with Naphthoquinones
In cells exposed to high levels of oxidative stress, like red blood cells, up to 10% of the glucose consumption may be directed to the pentose phosphate pathway (PPP) for production of the NADPH needed for this reaction. In the case of erythrocytes, if the PPP is non-functional, then the oxidative stress in the cell will lead to cell lysis and anemia.[21]
Lupus is an autoimmune disorder in which patients produce an elevated quantity of antibodies that attack DNA and other cell components. In a recent study, a single nucleotide polymorphism (SNP) in the Glutathione Reductase gene was found to be highly associated with lupus in African Americans in the study.[22] African Americans with lupus have also been shown to express less reduced glutathione in their T cells.[23] The study's authors believe that reduced glutathione reductase activity may contribute to the increased production of reactive oxygen in African Americans with lupus.[22]
In mice, glutathione reductase has been implicated in the oxidative burst, a component of the immune response.[24] The oxidative burst is a defense mechanism in which neutrophils produce and release reactive oxidative species in the vicinity of bacteria or fungi to destroy the foreign cells. Glutathione Reductase deficient neutrophils were shown to produce a more transient oxidative burst in response to bacteria than neutrophils that express GR at ordinary levels.[24] The mechanism of Glutathione Reductase in sustaining the oxidative burst is still unknown.[24]
Deficiency
Glutathione reductase deficiency is a rare disorder in which the glutathione reductase activity is absent from erythrocytes, leukocytes or both. In one study this disorder was observed in only two cases in 15,000 tests for glutathione reductase deficiency performed over the course of 30 years.[25] In the same study, glutathione reductase deficiency was associated with cataracts and favism in one patient and their family, and with severe unconjugated hyperbilirubinemia in another patient.[25] It has been proposed that the glutathione redox system (of which glutathione reductase is a part) is almost exclusively responsible for the protecting of eye lens cells from hydrogen peroxide because these cells are deficient in catalase, an enzyme which catalyzes the breakdown of hydrogen peroxide, and the high rate of cataract incidence in glutathione reductase deficient individuals.[26]
Some patients exhibit deficient levels of glutathione activity as a result of not consuming enough riboflavin in their diets. Riboflavin is a precursor for FAD, whose reduced form donates two electron to the disulfide bond which is present in the oxidized form of glutathione reductase in order to begin the enzyme's catalytic cycle. In 1999, a study found that 17.8% of males and 22.4% of females examined in Saudi Arabia suffered from low glutathione reductase activity due to riboflavin deficiency.[27]
Connection to favism
In favism, patients lack glucose-6-phosphate dehydrogenase, an enzyme in their pentose phosphate pathway that reduces NADP+ to NADPH while catalyzing the conversion of glucose-6-phosphate to 6-phosphoglucono-δ-lactone. Glucose-6-phosphate dehydrogenase deficient individuals have less NADPH available for the reduction of oxidized glutathione via glutathione reductase. Thus their basal ratio of oxidized to reduced glutathione is significantly higher than that of patients who express glucose-6-phosphate dehydrogenase, normally, making them unable to effectively respond to high levels of reactive oxygen species, which causes cell lysis.[28]
Monitoring glutathione reductase activity
The activity of glutathione reductase is used as indicator for oxidative stress. The activity can be monitored by the NADPH consumption, with absorbance at 340 nm, or the formed GSH can be visualized by Ellman's reagent.[29] Alternatively the activity can be measured using roGFP (redox-sensitive Green Fluorescent Protein).[30]
In plants
As it does in human cells, glutathione reductase helps to protect plant cells from reactive oxygen species. In plants, reduced glutathione participates in the glutathione-ascorbate cycle in which reduced glutathione reduces dehydroascorbate, a reactive byproduct of the reduction of hydrogen peroxide. In particular, glutathione reductase contributes to plants' response to abiotic stress.[31] The enzyme's activity has been shown to be modulated in response to metals, metalloids, salinity, drought, UV radiation and heat induced stress.[31]
History
Glutathione reductase was first purified in 1955 at Yale University by P. Janmeda.[32] Janmeda also identified NADPH as the primary electron donor for the enzyme. Later groups confirmed the presence of FAD and the thiol group, and an initial mechanism was suggested for the mechanism in 1965.[33][34] The initial (low resolution) structure of glutathione reductase was solved in 1977. This was quickly followed by a 3Å structure by Shulze et al. in 1978.[35] Glutathione reductase has been studied exhaustively since these early experiments, and is subsequently one of the most well characterized enzymes to date.
Interactive pathway map
Interactive pathway can be found here: pathway map
References
- ^ a b c GRCh38: Ensembl release 89: ENSG00000104687 – Ensembl, May 2017
- ^ a b c GRCm38: Ensembl release 89: ENSMUSG00000031584 – Ensembl, May 2017
- ^ "Human PubMed Reference:". National Center for Biotechnology Information, U.S. National Library of Medicine.
- ^ "Mouse PubMed Reference:". National Center for Biotechnology Information, U.S. National Library of Medicine.
- ^ a b Deponte M (May 2013). "Glutathione catalysis and the reaction mechanisms of glutathione-dependent enzymes". Biochim. Biophys. Acta. 1830 (5): 3217–66. doi:10.1016/j.bbagen.2012.09.018. PMID 23036594.
- ^ Meister A (November 1988). "Glutathione metabolism and its selective modification". J. Biol. Chem. 263 (33): 17205–8. doi:10.1016/S0021-9258(19)77815-6. PMID 3053703.
- ^ Mannervik B (August 1987). "The enzymes of glutathione metabolism: an overview". Biochem. Soc. Trans. 15 (4): 717–8. doi:10.1042/bst0150717. PMID 3315772.
- ^ a b Kanzok SM, Fechner A, Bauer H, Ulschmid JK, Müller HM, Botella-Munoz J, Schneuwly S, Schirmer R, Becker K (2001). "Substitution of the thioredoxin system for glutathione reductase in Drosophila melanogaster". Science. 291 (5504): 643–6. Bibcode:2001Sci...291..643K. doi:10.1126/science.291.5504.643. PMID 11158675.
- ^ Krauth-Siegel RL, Comini MA (2008). "Redox control in trypanosomatids, parasitic protozoa with trypanothione-based thiol metabolism". Biochim Biophys Acta. 1780 (11): 1236–48. doi:10.1016/j.bbagen.2008.03.006. PMID 18395526.
- ^ Grisham Reginald H. Garrett,... Charles M. (2005). Biochemistry (3rd ed.). Belmont, CA: Thomson Brooks/Cole. ISBN 0534490336.
{{cite book}}
: CS1 maint: multiple names: authors list (link) - ^ Masella R, Di Benedetto R, Varì R, Filesi C, Giovannini C (October 2005). "Novel mechanisms of natural antioxidant compounds in biological systems: involvement of glutathione and glutathione-related enzymes". J. Nutr. Biochem. 16 (10): 577–86. doi:10.1016/j.jnutbio.2005.05.013. PMID 16111877.
- ^ Dym O, Eisenberg D (September 2001). "Sequence-structure analysis of FAD-containing proteins". Protein Sci. 10 (9): 1712–28. doi:10.1110/ps.12801. PMC 2253189. PMID 11514662.
- ^ Berkholz DS, Faber HR, Savvides SN, Karplus PA (October 2008). "Catalytic cycle of human glutathione reductase near 1 A resolution". J. Mol. Biol. 382 (2): 371–84. doi:10.1016/j.jmb.2008.06.083. PMC 2593804. PMID 18638483.
- ^ Rodríguez VM, Del Razo LM, Limón-Pacheco JH, Giordano M, Sánchez-Peña LC, Uribe-Querol E, Gutiérrez-Ospina G, Gonsebatt ME (March 2005). "Glutathione reductase inhibition and methylated arsenic distribution in Cd1 mice brain and liver". Toxicol. Sci. 84 (1): 157–66. doi:10.1093/toxsci/kfi057. PMID 15601678.
- ^ Elliott AJ, Scheiber SA, Thomas C, Pardini RS (October 1992). "Inhibition of glutathione reductase by flavonoids. A structure-activity study". Biochem. Pharmacol. 44 (8): 1603–8. doi:10.1016/0006-2952(92)90478-2. PMID 1329770.
- ^ Sarma GN, Savvides SN, Becker K, Schirmer M, Schirmer RH, Karplus PA (May 2003). "Glutathione reductase of the malarial parasite Plasmodium falciparum: crystal structure and inhibitor development". J. Mol. Biol. 328 (4): 893–907. doi:10.1016/s0022-2836(03)00347-4. PMID 12729762.
- ^ Buchholz K, Schirmer RH, Eubel JK, Akoachere MB, Dandekar T, Becker K, Gromer S (January 2008). "Interactions of methylene blue with human disulfide reductases and their orthologues from Plasmodium falciparum". Antimicrob. Agents Chemother. 52 (1): 183–91. doi:10.1128/AAC.00773-07. PMC 2223905. PMID 17967916.
- ^ Müller T, Johann L, Jannack B, Brückner M, Lanfranchi DA, Bauer H, Sanchez C, Yardley V, Deregnaucourt C, Schrével J, Lanzer M, Schirmer RH, Davioud-Charvet E (August 2011). "Glutathione reductase-catalyzed cascade of redox reactions to bioactivate potent antimalarial 1,4-naphthoquinones--a new strategy to combat malarial parasites" (PDF). J. Am. Chem. Soc. 133 (30): 11557–71. Bibcode:2011JAChS.13311557M. doi:10.1021/ja201729z. PMID 21682307.
- ^ Deponte M, Urig S, Arscott LD, Fritz-Wolf K, Réau R, Herold-Mende C, Koncarevic S, Meyer M, Davioud-Charvet E, Ballou DP, Williams CH, Becker K (May 2005). "Mechanistic studies on a novel, highly potent gold-phosphole inhibitor of human glutathione reductase". J. Biol. Chem. 280 (21): 20628–37. doi:10.1074/jbc.M412519200. PMID 15792952.
- ^ Deponte M (May 2013). "Glutathione catalysis and the reaction mechanisms of glutathione-dependent enzymes". Biochim. Biophys. Acta. 1830 (5): 3217–66. doi:10.1016/j.bbagen.2012.09.018. PMID 23036594.
- ^ Champe PC, Harvey RA, Ferrier DR (2008). Biochemistry (fourth ed.). Lippincott Williams and Wilkins. ISBN 978-0-7817-6960-0.
- ^ a b Ramos PS, Oates JC, Kamen DL, Williams AH, Gaffney PM, Kelly JA, Kaufman KM, Kimberly RP, Niewold TB, Jacob CO, Tsao BP, Alarcón GS, Brown EE, Edberg JC, Petri MA, Ramsey-Goldman R, Reveille JD, Vilá LM, James JA, Guthridge JM, Merrill JT, Boackle SA, Freedman BI, Scofield RH, Stevens AM, Vyse TJ, Criswell LA, Moser KL, Alarcón-Riquelme ME, Langefeld CD, Harley JB, Gilkeson GS (June 2013). "Variable association of reactive intermediate genes with systemic lupus erythematosus in populations with different African ancestry". J. Rheumatol. 40 (6): 842–9. doi:10.3899/jrheum.120989. PMC 3735344. PMID 23637325.
- ^ Gergely P, Grossman C, Niland B, Puskas F, Neupane H, Allam F, Banki K, Phillips PE, Perl A (January 2002). "Mitochondrial hyperpolarization and ATP depletion in patients with systemic lupus erythematosus". Arthritis Rheum. 46 (1): 175–90. doi:10.1002/1529-0131(200201)46:1<175::AID-ART10015>3.0.CO;2-H. PMC 4020417. PMID 11817589.
- ^ a b c Yan J, Meng X, Wancket LM, Lintner K, Nelin LD, Chen B, Francis KP, Smith CV, Rogers LK, Liu Y (March 2012). "Glutathione reductase facilitates host defense by sustaining phagocytic oxidative burst and promoting the development of neutrophil extracellular traps". J. Immunol. 188 (5): 2316–27. doi:10.4049/jimmunol.1102683. PMC 3480216. PMID 22279102.
- ^ a b Kamerbeek NM, Zwieten R, Boer M, Morren G, Vuil H, Bannink N, Lincke C, Dolman KM, Becker K, Schirmer RH, Gromer S, Roos D (2007). "Molecular basis of glutathione reductase deficiency in human blood cells". Blood. 109 (8): 3560–3566. doi:10.1182/blood-2006-08-042531. PMID 17185460.
- ^ Roos D, Weening RS, Voetman AA, van Schaik ML, Bot AA, Meerhof LJ, Loos JA (May 1979). "Protection of phagocytic leukocytes by endogenous glutathione: studies in a family with glutathione reductase deficiency". Blood. 53 (5): 851–66. doi:10.1182/blood.V53.5.851.851. PMID 435643.
- ^ Warsy AS, el-Hazmi MA (November 1999). "Glutathione reductase deficiency in Saudi Arabia". East. Mediterr. Health J. 5 (6): 1208–12. doi:10.26719/1999.5.6.1208. PMID 11924113.
- ^ Cappellini MD, Fiorelli G (January 2008). "Glucose-6-phosphate dehydrogenase deficiency". Lancet. 371 (9606): 64–74. doi:10.1016/S0140-6736(08)60073-2. PMID 18177777. S2CID 29165746.
- ^ Smith IK, Vierheller TL, Thorne CA (1988). "RAssay of glutathione reductase in crude tissue homogenates using 5,5'-dithiobis(2-nitrobenzoic acid)". Anal Biochem. 175 (2): 408–13. doi:10.1016/0003-2697(88)90564-7. PMID 3239770.
- ^ Marty L, Siala W, Schwarzländer M, Fricker MD, Wirtz M, Sweetlove LJ, Meyer Y, Meyer AJ, Reichheld JP, Hell R (2009). "The NADPH-dependent thioredoxin system constitutes a functional backup for cytosolic glutathione reductase in Arabidopsis". Proc Natl Acad Sci U S A. 106 (22): 9109–14. Bibcode:2009PNAS..106.9109M. doi:10.1073/pnas.0900206106. PMC 2690020. PMID 19451637.
- ^ a b Gill SS, Anjum NA, Hasanuzzaman M, Gill R, Trivedi DK, Ahmad I, Pereira E, Tuteja N (September 2013). "Glutathione and glutathione reductase: a boon in disguise for plant abiotic stress defense operations". Plant Physiol. Biochem. 70: 204–12. Bibcode:2013PlPB...70..204G. doi:10.1016/j.plaphy.2013.05.032. PMID 23792825.
- ^ Racker E (December 1955). "Glutathione reductase from bakers' yeast and beef liver". J. Biol. Chem. 217 (2): 855–65. doi:10.1016/S0021-9258(18)65950-2. PMID 13271446.
- ^ Massey V, Williams CH (November 1965). "On the reaction mechanism of yeast glutathione reductase". J. Biol. Chem. 240 (11): 4470–80. doi:10.1016/S0021-9258(18)97085-7. PMID 4378936.
- ^ Mapson LW, Isherwood FA (January 1963). "Glutathione reductase from germinated peas". Biochem. J. 86 (1): 173–91. doi:10.1042/bj0860173. PMC 1201730. PMID 13932735.
- ^ Schulz GE, Schirmer RH, Sachsenheimer W, Pai EF (May 1978). "The structure of the flavoenzyme glutathione reductase". Nature. 273 (5658): 120–4. Bibcode:1978Natur.273..120S. doi:10.1038/273120a0. PMID 25387. S2CID 4153363.
Further reading
- Sinet PM, Bresson JL, Couturier J, Laurent C, Prieur M, Rethoré MO, Taillemite JL, Toudic D, Jérome H, Lejeune J (1977). "[Possible localization of the glutathione reductase (EC 1.6.4.2) on the 8p21 band]". Ann. Genet. (in French). 20 (1): 13–7. PMID 302667.
- Krohne-Ehrich G, Schirmer RH, Untucht-Grau R (1978). "Glutathione reductase from human erythrocytes. Isolation of the enzyme and sequence analysis of the redox-active peptide". Eur. J. Biochem. 80 (1): 65–71. doi:10.1111/j.1432-1033.1977.tb11856.x. PMID 923580.
- Loos H, Roos D, Weening R, Houwerzijl J (1976). "Familial deficiency of glutathione reductase in human blood cells". Blood. 48 (1): 53–62. doi:10.1182/blood.V48.1.53.53. PMID 947404.
- Tutic M, Lu XA, Schirmer RH, Werner D (1990). "Cloning and sequencing of mammalian glutathione reductase cDNA". Eur. J. Biochem. 188 (3): 523–8. doi:10.1111/j.1432-1033.1990.tb15431.x. PMID 2185014.
- Palmer EJ, MacManus JP, Mutus B (1990). "Inhibition of glutathione reductase by oncomodulin". Arch. Biochem. Biophys. 277 (1): 149–54. doi:10.1016/0003-9861(90)90563-E. PMID 2306116.
- Arnold HH, Heinze H (1990). "Treatment of human peripheral lymphocytes with concanavalin A activates expression of glutathione reductase". FEBS Lett. 267 (2): 189–92. Bibcode:1990FEBSL.267..189A. doi:10.1016/0014-5793(90)80922-6. PMID 2379581. S2CID 40084640.
- Karplus PA, Schulz GE (1987). "Refined structure of glutathione reductase at 1.54 A resolution". J. Mol. Biol. 195 (3): 701–29. doi:10.1016/0022-2836(87)90191-4. PMID 3656429.
- Pai EF, Schulz GE (1983). "The catalytic mechanism of glutathione reductase as derived from x-ray diffraction analyses of reaction intermediates". J. Biol. Chem. 258 (3): 1752–7. doi:10.1016/S0021-9258(18)33050-3. PMID 6822532.
- Krauth-Siegel RL, Blatterspiel R, Saleh M, Schiltz E, Schirmer RH, Untucht-Grau R (1982). "Glutathione reductase from human erythrocytes. The sequences of the NADPH domain and of the interface domain". Eur. J. Biochem. 121 (2): 259–67. doi:10.1111/j.1432-1033.1982.tb05780.x. PMID 7060551.
- Thieme R, Pai EF, Schirmer RH, Schulz GE (1982). "Three-dimensional structure of glutathione reductase at 2 A resolution". J. Mol. Biol. 152 (4): 763–82. doi:10.1016/0022-2836(81)90126-1. PMID 7334521.
- Huang J, Philbert MA (1995). "Distribution of glutathione and glutathione-related enzyme systems in mitochondria and cytosol of cultured cerebellar astrocytes and granule cells". Brain Res. 680 (1–2): 16–22. doi:10.1016/0006-8993(95)00209-9. PMID 7663973. S2CID 39710661.
- Savvides SN, Karplus PA (1996). "Kinetics and crystallographic analysis of human glutathione reductase in complex with a xanthene inhibitor". J. Biol. Chem. 271 (14): 8101–7. doi:10.1074/jbc.271.14.8101. PMID 8626496.
- Nordhoff A, Tziatzios C, van den Broek JA, Schott MK, Kalbitzer HR, Becker K, Schubert D, Schirmer RH (1997). "Denaturation and reactivation of dimeric human glutathione reductase--an assay for folding inhibitors". Eur. J. Biochem. 245 (2): 273–82. doi:10.1111/j.1432-1033.1997.00273.x. PMID 9151953.
- Stoll VS, Simpson SJ, Krauth-Siegel RL, Walsh CT, Pai E (1997). "Glutathione reductase turned into trypanothione reductase: structural analysis of an engineered change in substrate specificity". Biochemistry. 36 (21): 6437–47. doi:10.1021/bi963074p. PMID 9174360.
- Becker K, Savvides SN, Keese M, Schirmer RH, Karplus PA (1998). "Enzyme inactivation through sulfhydryl oxidation by physiologic NO-carriers". Nat. Struct. Biol. 5 (4): 267–71. doi:10.1038/nsb0498-267. PMID 9546215. S2CID 20607289.
- Kelner MJ, Montoya MA (2000). "Structural organization of the human glutathione reductase gene: determination of correct cDNA sequence and identification of a mitochondrial leader sequence". Biochem. Biophys. Res. Commun. 269 (2): 366–8. Bibcode:2000BBRC..269..366K. doi:10.1006/bbrc.2000.2267. PMID 10708558.
- Qanungo S, Mukherjea M (2001). "Ontogenic profile of some antioxidants and lipid peroxidation in human placental and fetal tissues". Mol. Cell. Biochem. 215 (1–2): 11–9. doi:10.1023/A:1026511420505. PMID 11204445. S2CID 22048227.
- Berry Y, Truscott RJ (2001). "The presence of a human UV filter within the lens represents an oxidative stress". Exp. Eye Res. 72 (4): 411–21. doi:10.1006/exer.2000.0970. PMID 11273669.
- Rhie G, Shin MH, Seo JY, Choi WW, Cho KH, Kim KH, Park KC, Eun HC, Chung JH (2001). "Aging- and photoaging-dependent changes of enzymic and nonenzymic antioxidants in the epidermis and dermis of human skin in vivo". J. Invest. Dermatol. 117 (5): 1212–7. doi:10.1046/j.0022-202x.2001.01469.x. PMID 11710935.
- Zatorska A, Józwiak Z (2003). "Involvement of glutathione and glutathione-related enzymes in the protection of normal and trisomic human fibroblasts against daunorubicin". Cell Biol. Int. 26 (5): 383–91. doi:10.1006/cbir.2002.0861. PMID 12095224. S2CID 31321422.