Homofenazine
![]() | |
Clinical data | |
---|---|
Trade names | Pasaden,[1][2] Oldagen (in Argentina)[3][4] |
Other names | HFZ[5] |
ATC code | |
Legal status | |
Legal status | |
Identifiers | |
CAS Number | |
PubChem CID | |
ChemSpider | |
UNII | |
ChEBI | |
ChEMBL | |
CompTox Dashboard (EPA) | |
Chemical and physical data | |
Formula | C23H28F3N3OS |
Molar mass | 451.55 g·mol−1 |
3D model (JSmol) | |
Boiling point | 230–240 °C (446–464 °F) [7] |
| |
|
Homofenazine is an antipsychotic drug of the phenothiazines class.[5] It was synthesized by Wilhelm Schuler and colleagues at Degussa.[8][9] In 1966, it was released in Belgium under the brand name Pasaden.[1] At some point, it was quietly discontinued and is no longer marketed.
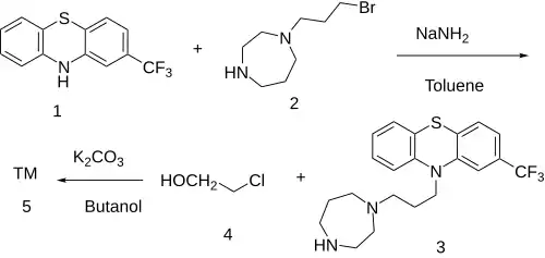
Synthesis

The alkylation between 2-(Trifluoromethyl)Phenothiazine [92-30-8] (1) and 1-(3-bromopropyl)-1,4-diazepane (2) led to 10-[3-(1,4-diazepan-1-yl)propyl]-2-(trifluoromethyl)phenothiazine, CID:110174391 (3). Further alkylation with 2-Chloroethanol [107-07-3] (4) completed the synthesis of homofenazine (5).
References
- ^ a b Schlesser JL (1990). 1991 Drugs available abroad: a guide to therapeutic drugs available and approved outside the U.S. Detroit : Gale Research. p. 107. ISBN 978-0-8103-7177-4. OCLC 1348900780.
{{cite book}}
: CS1 maint: publisher location (link) - ^ "Substâncias e remédios sob controle" [Substances and drugs under control] (PDF). Jornal do Brasil (in Brazilian Portuguese). 1986-11-05. p. 14. Archived (PDF) from the original on 2023-08-08. Retrieved 2023-08-08.
- ^ Index Nominum 2000: International Drug Directory (17 ed.). Taylor & Francis. 2000. p. 1499. ISBN 9783887630751.
- ^ Sitting, Marshall (1988). Pharmaceutical Manufacturing Encyclopedia (Vols 1&2, 2nd Ed) (2 ed.). Westwood, NJ: Noyes Publications. p. 769. ISBN 0-8155-1144-2. LCCN 87-31547. OCLC 52233518.
- ^ a b Martindale: the complete drug reference. London; Chicago: Pharmaceutical Press. 2007. p. 899. ISBN 978-0-85369-687-2. OCLC 1176310249.
- ^ Anvisa (2023-03-31). "RDC Nº 784 - Listas de Substâncias Entorpecentes, Psicotrópicas, Precursoras e Outras sob Controle Especial" [Collegiate Board Resolution No. 784 - Lists of Narcotic, Psychotropic, Precursor, and Other Substances under Special Control] (in Brazilian Portuguese). Diário Oficial da União (published 2023-04-04). Archived from the original on 2023-08-03. Retrieved 2023-08-03.
- ^ Elks J, Ganellin CR, eds. (1990). Dictionary of Drugs. Boston, MA: Springer US. p. 635. doi:10.1007/978-1-4757-2085-3. ISBN 978-1-4757-2087-7.
- ^ The Merck index : an encyclopedia of chemicals, drugs, and biologicals. Whitehouse Station, NJ : Merck. 1996. p. 810. ISBN 978-0-911910-12-4. OCLC 1285743402.
- ^ US patent 3040043, Schuler et al., "3-trifluoromethyl-10-[3'-(4"-(2"'-hydroxy ethyl)-homopiperazino)-propyl]-phenothiazine and 3-trifluoromethyl-10-[3'-(4"-(2"'-acetoxyethyl)-homopiperazino)-propyl]-phenothiazine", published 1962-06-19, issued 1962-06-19, assigned to Degussa.
- ^ Schuler Wilhelm Alfons, Beschke Helmut, Schlichtegroll Ansgar Von, U.S. patent 3,040,043 (1962 to Degussa).
- ^ Helmut Beschke, Schuler Dr Wilhelm Alfons, DE1445648A1 (1968 to Degussa).