Mathematics of neural networks in machine learning
An artificial neural network (ANN) or neural network combines biological principles with advanced statistics to solve problems in domains such as pattern recognition and game-play. ANNs adopt the basic model of neuron analogues connected to each other in a variety of ways.
Structure
Neuron
A neuron with label receiving an input from predecessor neurons consists of the following components:[1]
- an activation , the neuron's state, depending on a discrete time parameter,
- an optional threshold , which stays fixed unless changed by learning,
- an activation function that computes the new activation at a given time from , and the net input giving rise to the relation
- and an output function computing the output from the activation
Often the output function is simply the identity function.
An input neuron has no predecessor but serves as input interface for the whole network. Similarly an output neuron has no successor and thus serves as output interface of the whole network.
Propagation function
The propagation function computes the input to the neuron from the outputs and typically has the form[1]
Bias
A bias term can be added, changing the form to the following:[2]
- where is a bias.
Neural networks as functions
Neural network models can be viewed as defining a function that takes an input (observation) and produces an output (decision) or a distribution over or both and . Sometimes models are intimately associated with a particular learning rule. A common use of the phrase "ANN model" is really the definition of a class of such functions (where members of the class are obtained by varying parameters, connection weights, or specifics of the architecture such as the number of neurons, number of layers or their connectivity).
Mathematically, a neuron's network function is defined as a composition of other functions , that can further be decomposed into other functions. This can be conveniently represented as a network structure, with arrows depicting the dependencies between functions. A widely used type of composition is the nonlinear weighted sum, where , where (commonly referred to as the activation function[3]) is some predefined function, such as the hyperbolic tangent, sigmoid function, softmax function, or rectifier function. The important characteristic of the activation function is that it provides a smooth transition as input values change, i.e. a small change in input produces a small change in output. The following refers to a collection of functions as a vector .
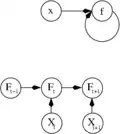
.svg.png)
This figure depicts such a decomposition of , with dependencies between variables indicated by arrows. These can be interpreted in two ways.
The first view is the functional view: the input is transformed into a 3-dimensional vector , which is then transformed into a 2-dimensional vector , which is finally transformed into . This view is most commonly encountered in the context of optimization.
The second view is the probabilistic view: the random variable depends upon the random variable , which depends upon , which depends upon the random variable . This view is most commonly encountered in the context of graphical models.
The two views are largely equivalent. In either case, for this particular architecture, the components of individual layers are independent of each other (e.g., the components of are independent of each other given their input ). This naturally enables a degree of parallelism in the implementation.

Networks such as the previous one are commonly called feedforward, because their graph is a directed acyclic graph. Networks with cycles are commonly called recurrent. Such networks are commonly depicted in the manner shown at the top of the figure, where is shown as dependent upon itself. However, an implied temporal dependence is not shown.
Backpropagation
Backpropagation training algorithms fall into three categories:
- steepest descent (with variable learning rate and momentum, resilient backpropagation);
- quasi-Newton (Broyden–Fletcher–Goldfarb–Shanno, one step secant);
- Levenberg–Marquardt and conjugate gradient (Fletcher–Reeves update, Polak–Ribiére update, Powell–Beale restart, scaled conjugate gradient).[4]
Algorithm
Let be a network with connections, inputs and outputs.
Below, denote vectors in , vectors in , and vectors in . These are called inputs, outputs and weights, respectively.
The network corresponds to a function which, given a weight , maps an input to an output .
In supervised learning, a sequence of training examples produces a sequence of weights starting from some initial weight , usually chosen at random.
These weights are computed in turn: first compute using only for . The output of the algorithm is then , giving a new function . The computation is the same in each step, hence only the case is described.
is calculated from by considering a variable weight and applying gradient descent to the function to find a local minimum, starting at .
This makes the minimizing weight found by gradient descent.
Learning pseudocode
To implement the algorithm above, explicit formulas are required for the gradient of the function where the function is .
The learning algorithm can be divided into two phases: propagation and weight update.
Propagation
Propagation involves the following steps:
- Propagation forward through the network to generate the output value(s)
- Calculation of the cost (error term)
- Propagation of the output activations back through the network using the training pattern target to generate the deltas (the difference between the targeted and actual output values) of all output and hidden neurons.
Weight update
For each weight:
- Multiply the weight's output delta and input activation to find the gradient of the weight.
- Subtract the ratio (percentage) of the weight's gradient from the weight.
The learning rate is the ratio (percentage) that influences the speed and quality of learning. The greater the ratio, the faster the neuron trains, but the lower the ratio, the more accurate the training. The sign of the gradient of a weight indicates whether the error varies directly with or inversely to the weight. Therefore, the weight must be updated in the opposite direction, "descending" the gradient.
Learning is repeated (on new batches) until the network performs adequately.
Pseudocode
Pseudocode for a stochastic gradient descent algorithm for training a three-layer network (one hidden layer):
initialize network weights (often small random values). do for each training example named ex do prediction = neural-net-output(network, ex) // forward pass actual = teacher-output(ex) compute error (prediction - actual) at the output units compute for all weights from hidden layer to output layer // backward pass compute for all weights from input layer to hidden layer // backward pass continued update network weights // input layer not modified by error estimate until error rate becomes acceptably low return the network
The lines labeled "backward pass" can be implemented using the backpropagation algorithm, which calculates the gradient of the error of the network regarding the network's modifiable weights.[5]
References
- ^ a b Zell, Andreas (2003). "chapter 5.2". Simulation neuronaler Netze [Simulation of Neural Networks] (in German) (1st ed.). Addison-Wesley. ISBN 978-3-89319-554-1. OCLC 249017987.
- ^ DAWSON, CHRISTIAN W (1998). "An artificial neural network approach to rainfall-runoff modelling". Hydrological Sciences Journal. 43 (1): 47–66. Bibcode:1998HydSJ..43...47D. doi:10.1080/02626669809492102.
- ^ "The Machine Learning Dictionary". www.cse.unsw.edu.au. Archived from the original on 2018-08-26. Retrieved 2019-08-18.
- ^ M. Forouzanfar; H. R. Dajani; V. Z. Groza; M. Bolic & S. Rajan (July 2010). Comparison of Feed-Forward Neural Network Training Algorithms for Oscillometric Blood Pressure Estimation. 4th Int. Workshop Soft Computing Applications. Arad, Romania: IEEE.
- ^ Werbos, Paul J. (1994). The Roots of Backpropagation. From Ordered Derivatives to Neural Networks and Political Forecasting. New York, NY: John Wiley & Sons, Inc.