N,O-Dimethylhydroxylamine
![]() | |
![]() | |
Names | |
---|---|
Preferred IUPAC name
N-Methoxymethanamine | |
Other names
Methoxymethylamine; Methylmethoxyamine; HNMeOMe
| |
Identifiers | |
3D model (JSmol)
|
|
ChemSpider | |
ECHA InfoCard | 100.012.960 |
PubChem CID
|
|
UNII | |
CompTox Dashboard (EPA)
|
|
| |
| |
Properties | |
C2H7NO | |
Molar mass | 61.084 g·mol−1 |
Melting point | −97 °C (−143 °F; 176 K)[2] Hydrochloride salt: 112 to 115 °C (234 to 239 °F; 385 to 388 K) |
Boiling point | 43.2[2] |
Except where otherwise noted, data are given for materials in their standard state (at 25 °C [77 °F], 100 kPa).
Infobox references
|
N,O-Dimethylhydroxylamine is a methylated hydroxylamine used to form so called 'Weinreb amides' for use in the Weinreb ketone synthesis.[2] It is commercially available as its hydrochloride salt.[1]
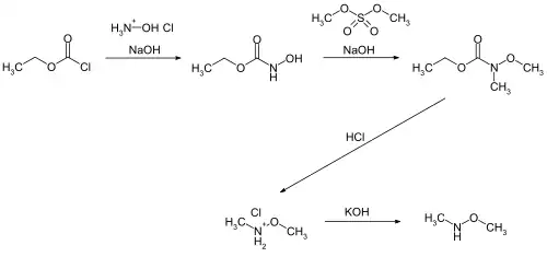
Synthesis
It may be prepared by reacting ethyl chloroformate (or similar) with hydroxylamine followed by treatment with a methylating agent such as dimethyl sulfate. The N,O-dimethylhydroxylamine is then liberated by acid hydrolysis followed by neutralization.[2]

See also
References
- ^ a b N,O-Dimethylhydroxylamine hydrochloride at Sigma-Aldrich
- ^ a b c d Weinreb, Steven M.; Folmer, James J.; Ward, Timothy R.; Georg, Gunda I. (2006). "N,O-Dimethylhydroxylamine". E-EROS Encyclopedia of Reagents for Organic Synthesis. doi:10.1002/047084289X.rd341.pub2. ISBN 0471936235.