Oxazole (data page)

The complete data for Oxazole ()
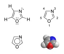
The structure of OxazoleGeneral information
Chemical formula: C3H3NO 
Molar mass: 69.06 g·mol−1
Systematic name:
1,3-oxazole a
Synonyms:
none
Database data
SMILES: C1=COC=N1 b
InChI=1/C3H3NO/c1-2-5-3-4-1/h1-3H c
 ATC: N/A CAS: 120-12-7 DrugBank: N/A EINECS: 206-020-8 d PubChem: 9255
Physical properties
Structure
Crystal data
Spectral data
UV-Vis
IR
NMR
MS
Phase behavior
Solid properties
Tm: -87 - -84 °C
Liquid properties
ρliquid: 1.050 g.cm−3
Tb: 69 - 70 °C
Gas properties
Hazard properties
MSDS
N/A
Main hazards:
- N/A
NFPA 704Flash point
- N/A
RTECS number:
N/A
Chemical properties
XLogP: -0.123 epI: pKa: 0.8 (of conjugate acid) hTautomers: Hydrogen bond: donor - 0 f acceptor - 2 g
Pharmacological properties
  This box:   

References

  1. ^a
  2. ^b
  3. ^c
  4. ^d
  5. ^e
  6. ^f
  7. ^g
  8. ^h Zoltewicz, J. A. & Deady, L. W. Quaternization of heteroaromatic compounds. Quantitative aspects. Adv. Heterocycl. Chem. 22, 71-121 (1978).

CID 9255 from PubChem