PEG-PVA
![]() | |
Identifiers | |
---|---|
CompTox Dashboard (EPA)
|
|
Properties | |
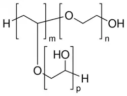
(C2H4O)m-(C2H4O)n-(C2H4O)p | |
Molar mass | Variable |
>30% | |
Solubility in organic solvents | Insoluble |
Except where otherwise noted, data are given for materials in their standard state (at 25 °C [77 °F], 100 kPa).
Infobox references
|
Polyethylene glycol–polyvinyl alcohol (PEG-PVA) brand name Kollicoat IR (BASF) is a multifunctional excipient[1] used as a pill binder as well as a wet binder. A typical formulation is composed of 25% polyethylene glycol (PEG) and 75% polyvinyl alcohol (PVA); where the vinyl alcohol moieties are grafted on a polyethylene glycol backbone.[2]
See also
References
- ^ "Kollicoat® IR". BASF Pharma. Retrieved 2022-06-11.
- ^ Kevin Williams (November 30, 2015). "Polyethylene Glycol-Polyvinyl Alcohol Graft Copolymer: A Peroxide-Free Binder". American Pharmaceutical Review. 18 (7).