Pentomone

Pentomone
Clinical data
Other namesLilly 113935; LY-113935
Drug classNonsteroidal antiandrogen
ATC code
  • None
Identifiers
  • (5aS,6aR,12aS,13aR)-4,8-dimethoxy-6,6-dimethyl-5a,6a,12,12a,13a,14-hexahydrochromeno[3,2-b]xanthen-13-one
CAS Number
PubChem CID
ChemSpider
UNII
ChEMBL
Chemical and physical data
FormulaC24H26O5
Molar mass394.467 g·mol−1
3D model (JSmol)
  • CC1(C2C(CC3=C(O2)C(=CC=C3)OC)C(=O)C4C1OC5=C(C4)C=CC=C5OC)C
  • InChI=InChI=1S/C24H26O5/c1-24(2)22-15(11-13-7-5-9-17(26-3)20(13)28-22)19(25)16-12-14-8-6-10-18(27-4)21(14)29-23(16)24/h5-10,15-16,22-23H,11-12H2,1-4H3/t15-,16+,22-,23+
  • Key:MTJTVTZUEKVNTG-YJEDKTMASA-N

Pentomone (INNTooltip International Nonproprietary Name, USANTooltip United States Adopted Name; development codes Lilly 113935 and LY-113935) is a nonsteroidal antiandrogen (NSAA) described as a "prostate growth inhibitor" which was never marketed.[1] It was synthesized and assayed in 1978.[1]

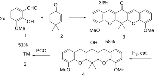
Synthesis

Condensation of two equivalents of o-vanillin with 4,4-dimethylcyclohexadienone (2) gives the five-ring ketone derivative (3). The reaction may be visualized as initial conjugate addition of phenoxide to the enone followed by interception of the resulting anion by the aldehyde carbonyl group. Catalytic hydrogenation then reduces both olefin pi-bonds as well as the ketone, to give (4). Re-oxidation of the alcohol thus formed with pyridinium chlorochromate affords pentomone.[2][3]

References

  1. ^ a b Elks J (14 November 2014). The Dictionary of Drugs: Chemical Data: Chemical Data, Structures and Bibliographies. Springer. pp. 949–. ISBN 978-1-4757-2085-3.
  2. ^ Michael E. Flaugh, U.S. patent 4,081,458 (1978 to Eli Lilly And Company).
  3. ^ David A Hall, Richard E Heiney, & Michael E Flaugh, GB1593643 (1981 to Eli Lilly and Co).