Sulfamerazine
![]() | |
Clinical data | |
---|---|
AHFS/Drugs.com | International Drug Names |
ATC code | |
Identifiers | |
| |
CAS Number | |
PubChem CID | |
DrugBank | |
ChemSpider | |
UNII | |
KEGG | |
ChEBI | |
ChEMBL | |
CompTox Dashboard (EPA) | |
ECHA InfoCard | 100.004.425 |
Chemical and physical data | |
Formula | C11H12N4O2S |
Molar mass | 264.30 g·mol−1 |
3D model (JSmol) | |
Melting point | 234 to 238 °C (453 to 460 °F) |
| |
| |
(verify) |
Sulfamerazine is a sulfonamide antibacterial.
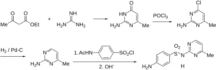
Synthesis

See also
References
- ^ Roblin RO, Williams JH, Winnek PS, English JP (1940). "Chemotherapy. II. Some Sulfanilamido Heterocycles1". Journal of the American Chemical Society. 62 (8): 2002–2005. doi:10.1021/ja01865a027.
- ^ Sprague JM, Kissinger LW, Lincoln RM (1941). "Sulfonamido Derivatives of Pyrimidines". Journal of the American Chemical Society. 63 (11): 3028–3030. doi:10.1021/ja01856a046.
External links
Media related to Sulfamerazine at Wikimedia Commons