Tioconazole
![]() | |
Clinical data | |
---|---|
Trade names | Vagistat-1, 1-Day |
Other names | Thioconazole |
AHFS/Drugs.com | Monograph |
Routes of administration | Topical |
ATC code | |
Legal status | |
Legal status |
|
Identifiers | |
| |
CAS Number | |
PubChem CID | |
DrugBank | |
ChemSpider | |
UNII | |
KEGG | |
ChEBI | |
ChEMBL | |
CompTox Dashboard (EPA) | |
ECHA InfoCard | 100.059.958 |
Chemical and physical data | |
Formula | C16H13Cl3N2OS |
Molar mass | 387.70 g·mol−1 |
Chirality | Racemic mixture |
![]() ![]() |
Tioconazole is an antifungal medication of the imidazole class used to treat infections caused by a fungus or yeast. It is marketed under the brand names Trosyd and Gyno-Trosyd (Pfizer, later Johnson & Johnson and now Kenvue). Tioconazole ointments serve to treat women's vaginal yeast infections.[1] They are available in one day doses, as opposed to the 7-day treatments commonly used in the past.
Tioconazole topical (skin) preparations are also available for ringworm, jock itch, athlete's foot, and tinea versicolor or "sun fungus".
Tioconazole is known to bind to tubulin and inhibit its polymerization. [2]
It was patented in 1975 and approved for medical use in 1982.[3]
Side effects
Side effects of vaginal tioconazole may include temporary burning itching, or irritation of the vagina. Vaginal swelling or redness, difficulty or burning during urination, headache, abdominal pain, and upper respiratory tract infection have been reported by people using tioconazole.[4] These side effects may be only temporary, and do not normally interfere with the patient's comfort enough to outweigh the result.
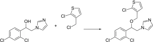
Synthesis
Antimycotic imidazole derivative.

A displacement reaction between 1-(2,4-dichlorophenyl)-2-(1H-imidazol-1-yl)ethanol and 2-chloro-3-(chloromethyl)thiophene is performed.
References
- ^ Tioconazole, Mayo Clinic
- ^ Baksheeva VE, La Rocca R, Allegro D, Derviaux C, Pasquier E, Roche P, Morelli X, Devred F, Golovin AV, Tsvetkov PO (2025). "NanoDSF Screening for Anti-tubulin Agents Uncovers New Structure–Activity Insights". Journal of Medicinal Chemistry. doi:10.1021/acs.jmedchem.5c01008.
- ^ Fischer J, Ganellin CR (2006). Analogue-based Drug Discovery. John Wiley & Sons. p. 503. ISBN 9783527607495.
- ^ "VAGISTAT-1 Print Label" (PDF). Food and Drug Administration. 6 February 1997. Archived from the original (PDF) on March 1, 2017. Retrieved 25 January 2021.
- ^ BE 841309, Gymer GE, issued 1976, assigned to Pfizer
- ^ US 4062966, Gymer GE, issued 1977, assigned to Pfizer
