Vanadium redox battery

Vanadium redox battery
Specific energy10–20 Wh/kg (36–72 J/g)
Energy density15–25 Wh/L (54–90 kJ/L)
Energy efficiency75–90%[1][2]
Time durability20 years[3]
Cycle durability>12,000–14,000 cycles[4]
Nominal cell voltage1.15–1.55 V
Schematic design of a vanadium redox flow battery system[5]
1 MW 4 MWh containerized vanadium flow battery owned by Avista Utilities and manufactured by UniEnergy Technologies
A vanadium redox flow battery located at the University of New South Wales, Sydney, Australia

The vanadium redox battery (VRB), also known as the vanadium flow battery (VFB) or vanadium redox flow battery (VRFB), is a type of rechargeable flow battery which employs vanadium ions as charge carriers.[6] The battery uses vanadium's ability to exist in a solution in four different oxidation states to make a battery with a single electroactive element instead of two.[7]

For several reasons, including their relative bulkiness, vanadium batteries are typically used for grid energy storage, i.e., attached to power plants/electrical grids.[8]

Numerous companies and organizations are involved in funding and developing vanadium redox batteries.

History

Pissoort mentioned the possibility of VRFBs in the 1930s.[9] NASA researchers and Pellegri and Spaziante followed suit in the 1970s,[10] but neither was successful. Maria Skyllas-Kazacos presented the first successful demonstration of an All-Vanadium Redox Flow Battery employing dissolved vanadium in a solution of sulfuric acid in the 1980s.[11][12][13] Her design used sulfuric acid electrolytes, and was patented by the University of New South Wales in Australia in 1986.[2]

One of the important breakthroughs achieved by Skyllas-Kazacos and coworkers was the development of a number of processes to produce vanadium electrolytes of over 1.5 M concentration using the lower cost, but insoluble vanadium pentoxide as starting material. These processes involved chemical and electrochemical dissolution and were patented by the University of NSW in 1989. During the 1990s the UNSW group conducted extensive research on membrane selection,[14][15] graphite felt activation,[16][17] conducting plastic bipolar electrode fabrication,[18] electrolyte characterisation and optimisation as well as modelling and simulation. Several 1-5 kW VFB prototype batteries were assembled and field tested in a Solar House in Thailand and in an electric golf cart at UNSW.[19]

The UNSW All-Vanadium Redox Flow Battery patents and technology were licensed to Mitsubishi Chemical Corporation and Kashima-Kita Electric Power Corporation in the mid-1990s and subsequently acquired by Sumitomo Electric Industries where extensive field testing was conducted in a wide range of applications in the late 1990s and early 2000s.[20]

In order to extend the operating temperature range of the battery and prevent precipitation of vanadium in the electrolyte at temperatures above 40oC in the case of V(V), or below 10oC in case of the negative half-cell solution, Skyllas-Kazacos and coworkers tested hundreds of organic and inorganic additives as potential precipitation inhibitors. They discovered that inorganic phosphate and ammonium compounds were effective in inhibiting precipitation of 2 M vanadium solutions in both the negative and positive half-cell at temperatures of 5 and 45 °C respectively and ammonium phosphate was selected as the most effective stabilising agent. Ammonium and phosphate additives were used to prepare and test a 3 M vanadium electrolyte in a flow cell with excellent results.[20]

Number of patent families and non-patent publications about several types of flow battery chemistries by year.[21]

Attributes

VRFBs' main advantages over other types of battery:[22]

  • energy capacity and power capacity are decoupled and can be scaled separately
  • energy capacity is obtained from the storage of liquid electrolytes rather than the cell itself
  • power capacity can be increased by adding more cells
  • can remain discharged indefinitely without damage
  • mixing electrolytes causes no permanent damage
  • single charge state across the electrolytes avoids capacity degradation
  • safe, non-flammable aqueous electrolyte
  • no noise or emissions
  • wide operating temperature range including passive cooling[23][24]
  • long charge/discharge cycle lives: 15,000-20,000 cycles and 10–20 years.
  • low levelized cost: (a few tens of cents), approaching the 2016 $0.05 target stated by the United States Department of Energy and the European Commission Strategic Energy Technology Plan €0.05 target.[25]

VRFBs' main disadvantages compared to other types of battery:[22]

  • high and volatile prices of vanadium minerals (i.e. the cost of VRFB energy)
  • relatively poor round trip efficiency (compared to lithium-ion batteries)
  • heavy weight of aqueous electrolyte
  • relatively poor energy-to-volume ratio compared to standard storage batteries
  • having moving parts in the pumps that produce the flow of electrolyte solution
  • toxicity of vanadium (V) compounds.

Design

Schematic of vanadium redox flow battery.
Solutions of Vanadium sulfates in four different oxidation states of vanadium.
Different types of graphite flow fields are used in vanadium flow batteries. From left to right: rectangular channels, rectangular channels with flow distributor, interdigitated flow field, and serpentine flow field.

Electrode

The electrodes in a VRB cell are carbon based. Several types of carbon electrodes used in VRB cell have been reported such as carbon felt, carbon paper, carbon cloth, and graphite felt.[26][27][28] Carbon-based materials have the advantages of low cost, low resistivity and good stability. Among them, carbon felt and graphite felt are preferred because of their enhanced three-dimensional network structures and higher specific surface areas, as well as good conductivity and chemical and electrochemical stability.[29][30]

The pristine carbon-based electrode exhibits hydrophobicity and limited catalytic activity when interacting with vanadium species. To enhance its catalytic performance and wettability, several approaches have been employed, including thermal treatment, acid treatment, electrochemical modification, and the incorporation of catalysts.[28][31] Carbon felt is typically produced by pyrolyzing polyacrylonitrile (PAN) or rayon fibers at approximately 1500 °C and 1400 °C, respectively. Graphite felt, on the other hand, undergoes pyrolysis at a higher temperature of about 2400 °C. To thermally activate the felt electrodes, the material is heated to 400 °C in an air or oxygen-containing atmosphere. This process significantly increases the surface area of the felt, enhancing it by a factor of 10.[32] The activity towards vanadium species are attribute to the increase in oxygen functional groups such as carbonyl group (C=O) and carboxyl group (C-O) after thermal treatment in air.[33] Many other surface modifications have shown improvement in activity such as graphene oxide and polyaniline.[34] There is currently no consensus regarding the specific functional groups and reaction mechanisms that dictate the interaction of vanadium species on the surface of the electrode. It has been proposed that the V(II)/V(III) reaction follows an inner-sphere mechanism, while the V(IV)/V(V) reaction tends to proceed through an outer-sphere mechanism.[31]

Electrolyte

Both electrolytes are vanadium-based. The electrolyte in the positive half-cells contains VO+2 and VO2+ ions, while the electrolyte in the negative half-cells consists of V3+ and V2+ ions. The electrolytes can be prepared by several processes, including electrolytically dissolving vanadium pentoxide (V2O5) in sulfuric acid (H2SO4).[35] The solution is strongly acidic in use.

Membrane

The membrane should allow protons to cross while keeping electrons and other ions separate. This creates charge separation and thus voltage. The most common membrane material is perfluorinated sulfonic acid (PFSA or Nafion). However, vanadium ions can penetrate a PFSA membrane, a phenomenon known as crossing-over, reducing the energy capacity of the battery.[36][37] A 2021 study found that penetration is reduced with hybrid sheets made by growing tungsten trioxide nanoparticles on the surface of single-layered graphene oxide sheets. These hybrid sheets are then embedded into a sandwich structured PFSA membrane reinforced with polytetrafluoroethylene (Teflon). The nanoparticles also promote proton transport, offering high coulombic efficiency and energy efficiency of more than 98.1 percent and 88.9 percent, respectively.[38]

Flow field

The resistive losses identified by the polarisation curve can be attributed to three main areas: activation loss, ohmic loss, and mass transport loss. Activation loss arises from slow charge transfer kinetics between the surface of the electrode and electrolyte. Ohmic losses are from the ohmic resistance of the electrolyte, electrode, membrane, and current collector. Ohmic losses can be reduced by improved cell design, such as zero-gap cell design and reduced membrane thickness.[39] Mass transport losses are from the lack of active vanadium species being transported to the electrode surface. The flow field design that promotes convective mass transport is crucial to reducing mass transport losses.[40][41] Serpentine and interdigitated flow field designs were produced by machining a bipolar plate adjacent to the porous electrode. The felt electrode can also be cut to create an electrolyte flow channel.[42][43] Both serpentine and interdigitated flow fields have been shown to enhance mass transport, which reduces mass transport polarisation and therefore increases limiting current density and peak power density. Flow dispensers are sometimes placed in the cell to distribute the flow and reduce jets. The flow field must also be designed to provide uniform electrolyte distribution to prevent dead zones in the cell and reduce pressure drop across the cell stack.[43][44]

Operation

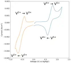
Cyclic voltammogram of vanadium (IV) solution in sulfuric acid solution

The reaction uses the half-reactions:[45]

VO+2 + 2H+ + eVO2+ + H2O ( = +1.00 V)[46]
V3+ + e → V2+ ( = −0.26 V)[47]

Other useful properties of vanadium flow batteries are their fast response to changing loads and their overload capacities. They can achieve a response time of under half a millisecond for a 100% load change, and allow overloads of as much as 400% for 10 seconds. Response time is limited mostly by the electrical equipment. Unless specifically designed for colder or warmer climates, most sulfuric acid-based vanadium batteries work between about 10 and 40 °C. Below that temperature range, the ion-infused sulfuric acid crystallizes.[48] Round trip efficiency in practical applications is around 70–80%.[49]

The original VRFB design by Skyllas-Kazacos employed sulfate (added as vanadium sulfate(s) and sulfuric acid) as the only anion in VRFB solutions, which limited the maximum vanadium concentration to 1.7 M of vanadium ions.[50] In the 1990s, Skyllas-Kazacos discovered the use of ammonium phosphate and other inorganic compounds as precipitation inhibitors to stabilise 2 M vanadium solutions over a temperature range of 5 to 45 oC and a Stabilising Agent patent was filed by UNSW in 1993. This discovery was largely overlooked however and in around 2010 a team from Pacific Northwest National Laboratory proposed a mixed sulfate-chloride electrolyte, that allowed for the use in VRFBs solutions with the vanadium concentration of 2.5 M over a whole temperature range between −20 and +50 °C.[51][52] Based on the standard equilibrium potential of the V5+/V4+ couple it is expected to oxidize chloride, and for this reason chloride solutions were avoided in earlier VRFB studies. The surprising oxidative stability (albeit only at the state of charge below ca. 80%) of V5+ solutions in the presence of chloride was explained on the basis of activity coefficients.[53] Many researchers explain the increased stability of V(V) at elevated temperatures by the higher proton concentration in the mixed acid electrolyte that shifts the thermal precipitation equilibrium of V(V) away from V2O5. Nevertheless, because of a high vapor pressure of HCl solutions and the possibility of chlorine generation during charging, such mixed electrolytes have not been widely adopted.[54]

Another variation is the use of vanadium bromide salts. Since the redox potential of Br2/2Br couple is more negative than that of V5+/V4+, the positive electrode operates via the bromine process.[55] However, due to problems with volatility and corrosivity of Br2, they did not gain much popularity (see zinc-bromine battery for a similar problem). A vanadium/cerium flow battery has also been proposed .[56]

Specific energy and energy density

VRBs achieve a specific energy of about 20 Wh/kg (72 kJ/kg) of electrolyte. Precipitation inhibitors can increase the density to about 35 Wh/kg (126 kJ/kg), with higher densities possible by controlling the electrolyte temperature. The specific energy is low compared to other rechargeable battery types (e.g., lead–acid, 30–40 Wh/kg (108–144 kJ/kg); and lithium ion, 80–200 Wh/kg (288–720 kJ/kg)).

Applications

VRFBs' large potential capacity may be best-suited to buffer the irregular output of utility-scale wind and solar systems.[22]

Their reduced self-discharge makes them potentially appropriate in applications that require long-term energy storage with little maintenance—as in military equipment, such as the sensor components of the GATOR mine system.[57][22]

They feature rapid response times well suited to uninterruptible power supply (UPS) applications, where they can replace lead–acid batteries or diesel generators. Fast response time is also beneficial for frequency regulation. These capabilities make VRFBs an effective "all-in-one" solution for microgrids, frequency regulation and load shifting.[22]

Deployment

Largest operational vanadium redox batteries
Name Commissioning date Energy (MWh) Power (MW) Duration (hours) Country
Minami Hayakita Substation[58][59] December 2015 60 15 4 Japan
Pfinztal, Baden-Württemberg[60][61][62] September 2019 20 2 10 Germany
Woniushi, Liaoning[63][64] 10 5 2 China
Tomamae Wind Farm[65] 2005 6 4 1:30 Japan
Zhangbei Project[66] 2016 8 2 4 China
SnoPUD MESA 2 Project[67][68] March 2017 8 2 4 USA
San Miguel Substation[69] 2017 8 2 4 USA
Pullman Washington[70] April 2015 4 1 4 USA
Dalian Battery[71] October 2022 400 (800) 100 (200) 4 China
Rongke[72] 2024 700 175 4 China
Jimusar[73] 202x 1000 200 5 China
Laufenburg Technology Center[74] 202x 1600 800 2 Switzerland

Development

Companies funding or developing vanadium redox batteries include Sumitomo Electric Industries,[75] CellCube (Enerox),[76] UniEnergy Technologies,[77] StorEn Technologies[78][79] in Australia, Largo Energy[80] and Ashlawn Energy[81] in the United States; H2 in Gyeryong-si, South Korea;[82] Renewable Energy Dynamics Technology,[83] Invinity Energy Systems[84] in the United Kingdom, VoltStorage[85] and Schmalz[86][87] in Europe; Prudent Energy[88] in China; Australian Vanadium, CellCube and North Harbour Clean Energy[89][90] in Australia; Yadlamalka Energy Trust and Invinity Energy Systems[91][92] in Australia; EverFlow Energy JV SABIC SCHMID Group in Saudi Arabia[93] and Bushveld Minerals in South Africa.[94]

See also

Notes

  1. ^ Skyllas-Kazacos, Maria; Kasherman, D.; Hong, D.R.; Kazacos, M. (September 1991). "Characteristics and performance of 1 kW UNSW vanadium redox battery". Journal of Power Sources. 35 (4): 399–404. Bibcode:1991JPS....35..399S. doi:10.1016/0378-7753(91)80058-6.
  2. ^ a b M. Skyllas-Kazacos, M. Rychcik and R. Robins, in AU Patent 575247 (1986), to Unisearch Ltd.
  3. ^ Fernández-Marchante, Carmen M.; Millán, María; Lobato, Justo (24 January 2023). "Life Cycle Analysis of Vanadium Flow Batteries". pp. 659–671. doi:10.1002/9783527832767.ch29. ISBN 978-3-527-34922-7. {{cite book}}: |journal= ignored (help); Missing or empty |title= (help)
  4. ^ Electricity Storage and Renewables: Costs and Markets to 2030. IRENA (2017), Electricity Storage and Renewables: Costs and Markets to 2030, International Renewable Energy Agency, Abu Dhabi.
  5. ^ Qi, Zhaoxiang; Koenig, Gary M. (July 2017). "Review Article: Flow battery systems with solid electroactive materials". Journal of Vacuum Science & Technology B, Nanotechnology and Microelectronics: Materials, Processing, Measurement, and Phenomena. 35 (4): 040801. Bibcode:2017JVSTB..35d0801Q. doi:10.1116/1.4983210. ISSN 2166-2746.
  6. ^ Laurence Knight (14 June 2014). "Vanadium: The metal that may soon be powering your neighbourhood". BBC. Retrieved 2 March 2015.
  7. ^ Alotto, P.; Guarnieri, M.; Moro, F. (2014). "Redox Flow Batteries for the storage of renewable energy: a review". Renewable & Sustainable Energy Reviews. 29: 325–335. Bibcode:2014RSERv..29..325A. doi:10.1016/j.rser.2013.08.001. hdl:11577/2682306.
  8. ^ James Purtill (2 February 2023). "Vanadium redox flow batteries can provide cheap, large-scale grid energy storage. Here's how they work". Australian Broadcasting Corporation. Retrieved 25 June 2023.
  9. ^ P. A. Pissoort, in FR Patent 754065 (1933)
  10. ^ A. Pelligri and P. M. Spaziante, in GB Patent 2030349 (1978), to Oronzio de Nori Impianti Elettrochimici S.p.A.
  11. ^ Rychik, M.; Skyllas-Kazacos, M. (January 1988). "Characteristics of a new all-vanadium redox flow battery". Journal of Power Sources. 22 (1): 59–67. Bibcode:1988JPS....22...59R. doi:10.1016/0378-7753(88)80005-3.
  12. ^ "Discovery and invention: How the vanadium flow battery story began". Energy Storage News. 18 October 2021. Archived from the original on 18 October 2021.
  13. ^ "Vanadium Redox Battery | UNSW Research". research.unsw.edu.au.
  14. ^ Chieng, S.C.; Kazacos, M.; Skyllas-Kazacos, M. (1992). "Preparation and evaluation of composite membrane for vanadium redox battery applications". Journal of Power Sources. 39 (1): 11–19. Bibcode:1992JPS....39...11C. doi:10.1016/0378-7753(92)85002-R.
  15. ^ Chieng, S.C.; Kazacos, M.; Skyllas-Kazacos, M. (16 December 1992). "Modification of Daramic, microporous separator, for redox flow battery applications". Journal of Membrane Science. 75 (1–2): 81–91. doi:10.1016/0376-7388(92)80008-8.
  16. ^ Sun, B.; Skyllas-Kazacos, M. (June 1992). "Modification of graphite electrode materials for vanadium redox flow battery application—I. Thermal treatment". Electrochimica Acta. 37 (7): 1253–1260. doi:10.1016/0013-4686(92)85064-R.
  17. ^ Sun, Bianting; Skyllas-Kazacos, Maria (October 1992). "Chemical modification of graphite electrode materials for vanadium redox flow battery application—part II. Acid treatments". Electrochimica Acta. 37 (13): 2459–2465. doi:10.1016/0013-4686(92)87084-D.
  18. ^ Zhong, S.; Kazacos, M.; Burford, R.P.; Skyllas-Kazacos, M. (October 1991). "Fabrication and activation studies of conducting plastic composite electrodes for redox cells". Journal of Power Sources. 36 (1): 29–43. Bibcode:1991JPS....36...29Z. doi:10.1016/0378-7753(91)80042-V.
  19. ^ Tang, Ao; McCann, John; Bao, Jie; Skyllas-Kazacos, Maria (November 2013). "Investigation of the effect of shunt current on battery efficiency and stack temperature in vanadium redox flow battery". Journal of Power Sources. 242: 349–356. Bibcode:2013JPS...242..349T. doi:10.1016/j.jpowsour.2013.05.079.
  20. ^ a b Skyllas-Kazacos, Maria (1 July 2022). "Review—Highlights of UNSW All-Vanadium Redox Battery Development: 1983 to Present". Journal of the Electrochemical Society. 169 (7): 070513. Bibcode:2022JElS..169g0513S. doi:10.1149/1945-7111/ac7bab. S2CID 250007049.
  21. ^ Tolmachev, Yuriy V. (1 March 2023). "Review—Flow Batteries from 1879 to 2022 and Beyond". Journal of the Electrochemical Society. 170 (3): 030505. Bibcode:2023JElS..170c0505T. doi:10.1149/1945-7111/acb8de. S2CID 256592096.
  22. ^ a b c d e Ragsdale, Rose (May 2020). "Vanadium fuels growing demand for VRFBs". Metal Tech News. Retrieved 15 November 2021.
  23. ^ "Vanadium Redox Flow Batteries" (PDF). Pacific Northwest National Laboratory. October 2012.
  24. ^ Miller, Kelsey. UniEnergy Technologies Goes from Molecules to Megawatts Archived 31 January 2016 at the Wayback Machine, Clean Tech Alliance, 7 July 2014. Accessed 21 January 2016.
  25. ^ Spagnuolo, G.; Petrone, G.; Mattavelli, P.; Guarnieri, M. (2016). "Vanadium Redox Flow Batteries: Potentials and Challenges of an Emerging Storage Technology". IEEE Industrial Electronics Magazine. 10 (4): 20–31. doi:10.1109/MIE.2016.2611760. hdl:11577/3217695. S2CID 28206437.
  26. ^ Flow batteries. Volume 1. Weinheim: Wiley-VCH. 2023. ISBN 978-3-527-35171-8.
  27. ^ Lourenssen, Kyle; Williams, James; Ahmadpour, Faraz; Clemmer, Ryan; Tasnim, Syeda (October 2019). "Vanadium redox flow batteries: A comprehensive review". Journal of Energy Storage. 25 100844. Bibcode:2019JEnSt..2500844L. doi:10.1016/j.est.2019.100844.
  28. ^ a b He, Zhangxing; Lv, Yanrong; Zhang, Tianao; Zhu, Ye; Dai, Lei; Yao, Shuo; Zhu, Wenjie; Wang, Ling (January 2022). "Electrode materials for vanadium redox flow batteries: Intrinsic treatment and introducing catalyst". Chemical Engineering Journal. 427 131680. Bibcode:2022ChEnJ.42731680H. doi:10.1016/j.cej.2021.131680.
  29. ^ Chakrabarti, M.H.; Brandon, N.P.; Hajimolana, S.A.; Tariq, F.; Yufit, V.; Hashim, M.A.; Hussain, M.A.; Low, C.T.J.; Aravind, P.V. (May 2014). "Application of carbon materials in redox flow batteries". Journal of Power Sources. 253: 150–166. Bibcode:2014JPS...253..150C. doi:10.1016/j.jpowsour.2013.12.038.
  30. ^ Singh, Manoj K.; Kapoor, Manshu; Verma, Anil (May 2021). "Recent progress on carbon and metal based electrocatalysts for vanadium redox flow battery". WIREs Energy and Environment. 10 (3). Bibcode:2021WIREE..10E.393S. doi:10.1002/wene.393.
  31. ^ a b Bourke, Andrea; Oboroceanu, Daniela; Quill, Nathan; Lenihan, Catherine; Safi, Maria Alhajji; Miller, Mallory A.; Savinell, Robert F.; Wainright, Jesse S.; SasikumarSP, Varsha; Rybalchenko, Maria; Amini, Pupak; Dalton, Niall; Lynch, Robert P.; Buckley, D. Noel (1 March 2023). "Review—Electrode Kinetics and Electrolyte Stability in Vanadium Flow Batteries". Journal of the Electrochemical Society. 170 (3): 030504. Bibcode:2023JElS..170c0504B. doi:10.1149/1945-7111/acbc99.
  32. ^ Huong Le, Thi Xuan; Bechelany, Mikhael; Cretin, Marc (October 2017). "Carbon felt based-electrodes for energy and environmental applications: A review" (PDF). Carbon. 122: 564–591. Bibcode:2017Carbo.122..564H. doi:10.1016/j.carbon.2017.06.078.
  33. ^ Parasuraman, Aishwarya; Lim, Tuti Mariana; Menictas, Chris; Skyllas-Kazacos, Maria (July 2013). "Review of material research and development for vanadium redox flow battery applications". Electrochimica Acta. 101: 27–40. doi:10.1016/j.electacta.2012.09.067.
  34. ^ Kaur, Amanpreet; Singh, Gurpreet; Lim, Jun Woo (1 January 2025). "High-performance composite electrode based on polyaniline/graphene oxide carbon network for vanadium redox flow batteries". Composite Structures. 351 118606. doi:10.1016/j.compstruct.2024.118606.
  35. ^ Guo, Yun; Huang, Jie; Feng, Jun-Kai (February 2023). "Research progress in preparation of electrolyte for all-vanadium redox flow battery". Journal of Industrial and Engineering Chemistry. 118: 33–43. doi:10.1016/j.jiec.2022.11.037. S2CID 253783900.
  36. ^ Zhang, Yue; Zhang, Denghua; Luan, Chao; Zhang, Yifan; Yu, Wenjie; Liu, Jianguo; Yan, Chuanwei (24 February 2023). "An Economical Composite Membrane with High Ion Selectivity for Vanadium Flow Batteries". Membranes. 13 (3): 272. doi:10.3390/membranes13030272. PMC 10057319. PMID 36984659.
  37. ^ Tempelman, C. H. L.; Jacobs, J. F.; Balzer, R. M.; Degirmenci, V. (1 December 2020). "Membranes for all vanadium redox flow batteries". Journal of Energy Storage. 32 101754. Bibcode:2020JEnSt..3201754T. doi:10.1016/j.est.2020.101754.
  38. ^ Lavars, Nick (12 November 2021). "Hybrid membrane edges flow batteries toward grid-scale energy storage". New Atlas. Retrieved 14 November 2021.
  39. ^ Shi, Yu; Eze, Chika; Xiong, Binyu; He, Weidong; Zhang, Han; Lim, T.M.; Ukil, A.; Zhao, Jiyun (March 2019). "Recent development of membrane for vanadium redox flow battery applications: A review". Applied Energy. 238: 202–224. Bibcode:2019ApEn..238..202S. doi:10.1016/j.apenergy.2018.12.087. hdl:10356/144619.
  40. ^ Milshtein, Jarrod D.; Tenny, Kevin M.; Barton, John L.; Drake, Javit; Darling, Robert M.; Brushett, Fikile R. (2017). "Quantifying Mass Transfer Rates in Redox Flow Batteries". Journal of the Electrochemical Society. 164 (11): E3265 – E3275. doi:10.1149/2.0201711jes. hdl:1721.1/133938.
  41. ^ Aaron, Doug; Tang, Zhijiang; Papandrew, Alexander B.; Zawodzinski, Thomas A. (October 2011). "Polarization curve analysis of all-vanadium redox flow batteries". Journal of Applied Electrochemistry. 41 (10): 1175–1182. doi:10.1007/s10800-011-0335-7.
  42. ^ Reed, David; Thomsen, Edwin; Li, Bin; Wang, Wei; Nie, Zimin; Koeppel, Brian; Kizewski, James; Sprenkle, Vincent (2016). "Stack Developments in a kW Class All Vanadium Mixed Acid Redox Flow Battery at the Pacific Northwest National Laboratory". Journal of the Electrochemical Society. 163 (1): A5211 – A5219. doi:10.1149/2.0281601jes.
  43. ^ a b Arenas, L.F.; Ponce de León, C.; Walsh, F.C. (June 2017). "Engineering aspects of the design, construction and performance of modular redox flow batteries for energy storage" (PDF). Journal of Energy Storage. 11: 119–153. Bibcode:2017JEnSt..11..119A. doi:10.1016/j.est.2017.02.007.
  44. ^ Yao, Yanxin; Lei, Jiafeng; Shi, Yang; Ai, Fei; Lu, Yi-Chun (11 February 2021). "Assessment methods and performance metrics for redox flow batteries". Nature Energy. 6 (6): 582–588. Bibcode:2021NatEn...6..582Y. doi:10.1038/s41560-020-00772-8.
  45. ^ Jin, Jutao; Fu, Xiaogang; Liu, Qiao; Liu, Yanru; Wei, Zhiyang; Niu, Kexing; Zhang, Junyan (25 June 2013). "Identifying the Active Site in Nitrogen-Doped Graphene for the VO 2+ /VO 2 + Redox Reaction". ACS Nano. 7 (6): 4764–4773. doi:10.1021/nn3046709. PMID 23647240.
  46. ^ Cotton, F. Albert; Wilkinson, Geoffrey; Murillo, Carlos A.; Bochmann, Manfred (1999), Advanced Inorganic Chemistry (6th ed.), New York: Wiley-Interscience, ISBN 0-471-19957-5
  47. ^ Atkins, Peter (2010). Inorganic Chemistry (5th ed.). W. H. Freeman. p. 153. ISBN 978-1-42-921820-7.
  48. ^ DOE/Pacific Northwest National Laboratory (17 March 2011). "Electric Grid Reliability: Increasing Energy Storage in Vanadium Redox Batteries by 70 Percent". Science Daily. Retrieved 2 March 2015.
  49. ^ Revankar, Shripad T. (2019). "Chapter 6. Chemical Energy Storage". In Bindra, Hitesh & Revankar, Shripad (eds.). Storage and Hybridization of Nuclear Energy – Techno-economic Integration of Renewable and Nuclear Energy. London: Academic Press. pp. 177–227. doi:10.1016/B978-0-12-813975-2.00006-5. ISBN 9780128139752. S2CID 189154686.
  50. ^ M. Skyllas-Kazacos, M. Rychcik and G. Robins Robert, "All vanadium redox battery." 1986AU-0055562 1986-04-02. M. Skyllas-Kazacos, "All-vanadium redox battery and additives." 1988WO-AU00472 1988-12-091989AU-0028153 1989-12-09. M. Skyllas-Kazacos, M. Kazacos and C. Mcdermott Rodney John, "Vanadium charging cell and vanadium dual battery system." 1989AU-0028152 1989-12-09. M. Kazacos and S. Kazacos Maria, "High energy density vanadium electrolyte solutions, methods of preparation thereof and all-vanadium redox cells and batteries containing high energy vanadium electrolyte solutions." 1996AT-0911853T 1996-05-031996AU-0054914 1996-05-031996US-08945869 1996-05-031996WO-AU00268 1996-05-031996NZ-0306364 1996-05-031996ES-0911853T 1996-05-031996EP-0911853 1996-05-031996DE-6030298 1996-05-031996CA-2220075 1996-05-031998HK-0110321 1998-08-312002US-10226751 2002-08-22
  51. ^ Li, L.; Kim, S.; Wang, W.; Vijayakumar, M.; Nie, Z.; Chen, B.; Zhang, J.; Xia, G.; Hu, J.; Graff, G.; Liu, J.; Yang, Z. (2011). "A stable vanadium redox-flow battery with high energy density for large-scale energy storage". Advanced Energy Materials. 1 (3): 394–400. Bibcode:2011AdEnM...1..394L. doi:10.1002/aenm.201100008. S2CID 33277301.
  52. ^ Yang, Y.; Zhang, Y.; Tang, L.; Liu, T.; Huang, J.; Peng, S.; Yang, X. (September 2019). "Investigations on physicochemical properties and electrochemical performance of sulfate-chloride mixed acid electrolyte for vanadium redox flow battery". Journal of Power Sources. 434 226719. Bibcode:2019JPS...43426719Y. doi:10.1016/j.jpowsour.2019.226719. S2CID 197352614.
  53. ^ Roznyatovskaya, N.; Noack, J.; Mild, H.; Fühl, M.; Fischer, P.; Pinkwart, K.; Tübke, J.; Skyllas-Kazacos, M. (2019). "Vanadium electrolyte for all-vanadium redox-flow batteries: the effect of the counter ion". Batteries. 5 (1): 13. doi:10.3390/batteries5010013.
  54. ^ Yuriy V Tolmachev. Review—Flow Batteries From 1879 To 2022 And Beyond. https://iopscience.iop.org/article/10.1149/1945-7111/acb8de/meta
  55. ^ Vafiadis, Helen; Skyllas-Kazacos, Maria (2006). "Evaluation of membranes for the novel vanadium bromine redox flow cell". Journal of Membrane Science. 279 (1–2): 394–402. doi:10.1016/j.memsci.2005.12.028.
  56. ^ Sankarasubramanian, Shrihari; Zhang, Yunzhu; Ramani, Vijay (2019). "Methanesulfonic acid-based electrode-decoupled vanadium–cerium redox flow battery exhibits significantly improved capacity and cycle life". Sustainable Energy & Fuels. 3 (9): 2417–2425. doi:10.1039/C9SE00286C. ISSN 2398-4902. S2CID 199071949.
  57. ^ Allbright, Greg, et al. A Comparison of Lead Acid to Lithium-ion in Stationary Storage Applications All Cell, March 2012
  58. ^ Stone, Mike (3 February 2016). "A Look at the Biggest Energy Storage Projects Built Around the World in the Last Year". Retrieved 12 August 2017.
  59. ^ "DOE Global Energy Storage Database". energystorageexchange.org. Archived from the original on 9 November 2017. Retrieved 9 November 2017.
  60. ^ "Redox-Flow-Batterien". Archived from the original on 14 March 2014. Retrieved 27 July 2014.
  61. ^ Armin Herberger (19 January 2021). "Hybridspeichersystem in Wohnquartier – KIT plant in Bruchsal Weltpremiere mit Strom-Wärme-Kopplung". Badische Neueste Nachrichten Kraichgau. Retrieved 29 June 2023.
  62. ^ "Großprojekt "RedoxWind"". Fraunhofer-Institut für Chemische Technologie.
  63. ^ "Energy Storage in China". ees-magazine.com. Retrieved 12 August 2017.
  64. ^ Zonghao, L. I. U.; Huamin, Zhang; Sujun, G. a. O.; Xiangkun, M. A.; Yufeng, L. I. U.; 刘宗浩, 张华民. "The world's largest all-vanadium redox flow battery energy storage system for a wind farm, 风场配套用全球最大全钒液流电池储能系统". 储能科学与技术. 3 (1): 71–77. doi:10.3969/j.issn.2095-4239.2014.01.010. Archived from the original on 13 August 2017. Retrieved 12 August 2017.
  65. ^ "DOE Global Energy Storage Database". energystorageexchange.org. Archived from the original on 19 October 2013. Retrieved 9 November 2017.
  66. ^ "DOE Global Energy Storage Database". energystorageexchange.org. Archived from the original on 31 August 2018. Retrieved 9 November 2017.
  67. ^ "UET and Snohomish County PUD Dedicate the World's Largest Capacity Containerized Flow Battery". Energy Storage News. 29 March 2017. Archived from the original on 18 August 2018. Retrieved 29 December 2017.
  68. ^ "PUD invests $11.2 million in energy-storing units". Everett Herald. 2 November 2016. Retrieved 29 December 2017.
  69. ^ "SDG&E and Sumitomo unveil largest vanadium redox flow battery in the US". Energy Storage News. 17 March 2017. Retrieved 12 August 2017.
  70. ^ Wesoff, Eric, St. John, Jeff. Largest Capacity Flow Battery in North America and EU is Online, Greentech Media, June 2015. Accessed 21 January 2016.
  71. ^ "World's largest flow battery connected to the grid in China". New Atlas. 3 October 2022. Retrieved 12 October 2022.
  72. ^ "Rongke Power delivers 175 MW / 700 MWh vanadium flow battery – 'world's largest'". Best Magazine. 6 December 2024.
  73. ^ Shaw, Vincent (4 July 2025). "China completes world's largest vanadium flow battery plant". Energy Storage.
  74. ^ Sperlich, Tom (9 May 2025). "Construction start for world's largest battery storage facility in Switzerland". heise online. Retrieved 21 May 2025.
  75. ^ "Redox Flow Battery". SumitomoElectric. Retrieved 1 March 2023.
  76. ^ "CellCube – the versatile energy storage system of the future". Cellcube. Retrieved 14 December 2022.
  77. ^ Steve Wilhelm (3 July 2014). "Liquid battery the size of a truck, will give utilities a charge". Puget Sound Business Journal. Retrieved 2 May 2015.
  78. ^ Entrepreneur, Office of the Queensland Chief (3 February 2021). "How Queensland can supercharge the future of batteries". Office of the Queensland Chief Entrepreneur. Archived from the original on 28 September 2020. Retrieved 3 February 2021.
  79. ^ "StorEn Tech Provides First of Its Kind Vanadium Flow Battery To Australia". CleanTechnica. 19 December 2020. Retrieved 3 February 2021.
  80. ^ "Vanadium producer Largo prepares 1.4GWh of flow battery stack manufacturing capacity". 6 May 2021.
  81. ^ BILL HAGSTRAND (23 August 2013). "Vanadium redox: powering up local communities". Crain's Cleveland Business. Retrieved 2 May 2015.
  82. ^ Andy Colthorpe (14 November 2022). "South Korean flow battery maker H2 building 330MWh factory". Energy Storage News. Retrieved 29 June 2023.
  83. ^ "US clean-tech investments leap to US$1.1bn. Where's Ireland at?". Silicon Republic. 11 April 2011. Retrieved 2 May 2015.
  84. ^ "'UK's first' grid-scale battery storage system comes online in Oxford". www.euractiv.com. 24 June 2021.
  85. ^ "Voltstorage develops a safe and ecological storage solution". 16 January 2018.
  86. ^ "Lösungen für Energiespeichersysteme: Schmalz baut weiteres Geschäftsfeld auf". Windkraft-Journal. 16 June 2016. Retrieved 28 May 2023.
  87. ^ "Stacks of Schmalz". J. Schmalz GmbH. 28 May 2023. Retrieved 28 May 2023.
  88. ^ Jeff St. John (2 March 2010). "Made in China: Prudent Energy Lands $22M For Flow Batteries". GigaOm. Archived from the original on 29 August 2010. Retrieved 2 May 2015.
  89. ^ "Australian Vanadium Ltd ships first vanadium flow battery from Austria". Proactive Investors. 13 July 2016. Retrieved 24 November 2017.
  90. ^ "Vanadium flow battery partners sign agreement to develop gigafactory in Australia". VSUN Energy. 24 November 2022. Retrieved 27 June 2023.
  91. ^ "Renewable technology solutions to enable a sustainable energy future". Yadlamalka Energy. 2023. Retrieved 27 June 2023.
  92. ^ Gabriella Marchant (4 January 2021). "Australian Renewable Energy Agency backs vanadium flow battery project in outback SA". Australian Broadcasting Corporation. Retrieved 27 June 2023.
  93. ^ "3GWh flow battery manufacturing facility to be constructed in Saudi Arabia". 16 May 2020.
  94. ^ "Vanadium producer Bushveld Minerals begins building flow battery electrolyte plant in South Africa". 15 June 2021.

References