4-HO-NALT
![]() | |
| Identifiers | |
|---|---|
IUPAC name
| |
| PubChem CID | |
| Chemical and physical data | |
| Formula | C13H16N2O |
| Molar mass | 216.284 g·mol−1 |
| 3D model (JSmol) | |
SMILES
| |
InChI
| |
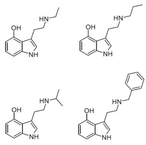
4-Hydroxy-N-allyltryptamine (4-HO-NALT) is a tryptamine derivative developed by modification of norpsilocin (4-HO-NMT). It produces a head-twitch response in mice consistent with psychedelic-like activity, as do the corresponding ethyl, propyl, isopropyl and benzyl derivatives (4-HO-NET, 4-HO-NPT, 4-HO-NiPT and 4-HO-NBnT), but the bulkier t-butyl and cyclohexyl derivatives are inactive.[1]

4-HO-NET, 4-HO-NPT, 4-HO-NiPT & 4-HO-NBnT
See also
References
- ↑ Sherwood AM, Burkhartzmeyer EK, Williamson SE, Baumann MH, Glatfelter GC (January 2024). "Psychedelic-like Activity of Norpsilocin Analogues". ACS Chemical Neuroscience. 15 (2): 315–327. doi:10.1021/acschemneuro.3c00610. PMC 10797613. PMID 38189238.
This article is issued from Wmcloud. The text is licensed under Creative Commons - Attribution - Sharealike. Additional terms may apply for the media files.
