Clocental
![]() | |
![]() | |
| Clinical data | |
|---|---|
| Other names | Dolcental |
| Identifiers | |
IUPAC name
| |
| CAS Number |
|
| ChemSpider |
|
| UNII | |
| CompTox Dashboard (EPA) | |
| Chemical and physical data | |
| Formula | C10H14N2O3 |
| Molar mass | 210.233 g·mol−1 |
| 3D model (JSmol) | |
SMILES
| |
InChI
| |
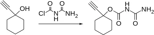
Clocental (dolcental) is a carbamate-derived sedative hypnotic. It can be prepared by the ethynylation of cyclohexanone followed by reaction with allophanyl chloride.[1]

Clocental synthesis
See also
References
| Alcohols |
|
|---|---|
| Barbiturates |
|
| Benzodiazepines |
|
| Carbamates | |
| Flavonoids |
|
| Imidazoles | |
| Kava constituents |
|
| Monoureides |
|
| Neuroactive steroids |
|
| Nonbenzodiazepines | |
| Phenols | |
| Piperidinediones | |
| Pyrazolopyridines | |
| Quinazolinones | |
| Volatiles/gases |
|
| Others/unsorted |
|
See also: Receptor/signaling modulators • GABA receptor modulators • GABA metabolism/transport modulators | |
This article is issued from Wmcloud. The text is licensed under Creative Commons - Attribution - Sharealike. Additional terms may apply for the media files.

