Latamoxef

Latamoxef
Names
IUPAC name
  • (6R,7R)-7-{[carboxy(4-hydroxyphenyl)acetyl]amino}-7-methoxy-3-{[(1-methyl-1H-tetrazol-5-yl)thio]methyl}-8-oxo-5-oxa-1-azabicyclo[4.2.0]oct-2-ene-2-carboxylic acid
Clinical data
WHO AWaReUnlinkedWikibase error: ⧼unlinkedwikibase-error-statements-entity-not-set⧽
Routes of
use
Intramuscular, intravenous
External links
AHFS/Drugs.comInternational Drug Names
Pharmacokinetics
Protein binding35 to 50%
MetabolismNil
Elimination half-life2 hours
ExcretionMostly renal, unchanged; also biliary
Chemical and physical data
FormulaC20H20N6O9S
Molar mass520.47 g·mol−1
3D model (JSmol)
Melting point117 to 122 °C (243 to 252 °F) (dec.)
SMILES
  • O=C2N1/C(=C(\CO[C@@H]1[C@]2(OC)NC(=O)C(c3ccc(O)cc3)C(=O)O)CSc4nnnn4C)C(=O)O
InChI
  • InChI=1S/C20H20N6O9S/c1-25-19(22-23-24-25)36-8-10-7-35-18-20(34-2,17(33)26(18)13(10)16(31)32)21-14(28)12(15(29)30)9-3-5-11(27)6-4-9/h3-6,12,18,27H,7-8H2,1-2H3,(H,21,28)(H,29,30)(H,31,32)/t12?,18-,20+/m1/s1 checkY
  • Key:JWCSIUVGFCSJCK-CAVRMKNVSA-N checkY

Latamoxef (or moxalactam) is an oxacephem antibiotic. In oxacephems such as latamoxef, the sulfur atom of the cephalosporin core is replaced with an oxygen atom.

It is in the third-generation cephalosporin family of medications and works by interfering with the bacteria's cell wall.[1]

Latamoxef has been associated with prolonged bleeding time, and several cases of coagulopathy, some fatal, were reported during the 1980s.[2][3] Latamoxef is no longer available in the United States. As with other cephalosporins with a methylthiotetrazole side chain, latamoxef causes an antabuse reaction when mixed with alcohol. Additionally, the methylthiotetrazole side chain inhibits γ-carboxylation of glutamic acid; this can interfere with the actions of vitamin K.

It is no longer available in the United States.[1]

Synthesis

Oxa-substituted third generation cephalosporin antibiotic (oxacephalosporin).

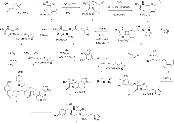
Moxalactam synthesis:[4][5][6][7] (excerpt from Lednicer book 3)

The benzhydrol ester of 6-Aminopenicillanic acid (6-APA) is S-chlorinated and treated with base whereupon the intermediate sulfenyl chloride fragments (to 2). Next, displacement with propargyl alcohol in the presence of zinc chloride gives predominanntly the stereochemistry represented by diastereoisomer 3. The side chain is protected as the phenylacetylamide; the triple bond is partially reduced with a 5% Pd-CaCO3 (Lindlar catalyst) and then epoxidized with mCPBA to give 4. The epoxide is opened at the least hindered end with 1-methyl-1H-tetrazole-5-thiol to put in place the future C-3 side chain and give intermediate 5. Jones oxidation followed in turn by ozonolysis (reductive work-up with zinc-AcOH) and reaction with SOCl2 and pyridine give halide 6. The stage is now wet for intramolecular Wittig reaction. Displacement with PPh3 and Wittig olefination gives 1-oxacephem 7. Next a sequence is undertaken of side chain exchange and introduction of a 7-methoxyl group analogous to that which is present in cephamycins and gives them the enhanced beta-lactamase stability. First 7 is converted to the imino chloride with PCl5 and then to the imino methyl ether (with methanol) and next hydrolyzed to the free amine (8). Imine formation with 3,5-di-t-butyl-4-hydroxybenzaldehyde is next carried out leading to 9. Oxidation with nickel(III) oxide gives iminoquinone methide 10, to which methanol is added in a conjugate sense and in the sterechemistry represented by formula 11. The imine is exchanged with Girard's reagent T to give 12, and this is acylated by a suitable protected arylmalonate, as the hemiester hemiacid chloride so as to give 11. Deblocking with aluminium chloride and anisole gives moxalactam 14.

References

  1. 1 2 Beauduy, Camille E.; Winston, Lisa G. (2020). "43. Beta-lactam and other cell wall - & membrane - active antibiotics". In Katzung, Bertram G.; Trevor, Anthony J. (eds.). Basic and Clinical Pharmacology (15th ed.). New York: McGraw-Hill. p. 832. ISBN 978-1-260-45231-0. Archived from the original on 2021-10-10. Retrieved 2021-11-30.
  2. Weitekamp MR, Aber RC (1983). "Prolonged bleeding times and bleeding diathesis associated with moxalactam administration". JAMA. 249 (1): 69–71. doi:10.1001/jama.249.1.69. PMID 6217353.
  3. Brown RB, Klar J, Lemeshow S, Teres D, Pastides H, Sands M (1986). "Enhanced bleeding with cefoxitin or moxalactam. Statistical analysis within a defined population of 1493 patients". Arch Intern Med. 146 (11): 2159–64. doi:10.1001/archinte.146.11.2159. PMID 3778044.
  4. M. Narisada, W. Nagata, DE 2713370; eidem, U.S. Patent 4,138,486 (1977, 1979 both to Shionogi).
  5. Narisada, Masayuki; Yoshida, Tadashi; Onoue, Hiroshi; Ohtani, Mitsuaki; Okada, Tetsuo; Tsuji, Teruji; Kikkawa, Ikuo; Haga, Nobuhiro; Satoh, Hisashi; et al. (1979). "Synthetic studies on β-lactam antibiotics. Part 10. Synthesis of 7β-[2-carboxy-2-(4-hydroxyphenyl)acetamido]-7.alpha.-methoxy-3-[[(1-methyl-1H-tetrazol-5-yl)thio]methyl]-1-oxa-1-dethia-3-cephem-4-carboxylic acid disodium salt (6059-S) and its related 1-oxacephems". Journal of Medicinal Chemistry. 22 (7): 757–9. doi:10.1021/jm00193a001. PMID 448673.
  6. Otsuka, H.; Nagata, W.; Yoshioka, M.; Narisada, M.; Yoshida, T.; Harada, Y.; Yamada, H. (1981). "Discovery and development of moxalactam (6059-S): The chemistry and biology of 1-oxacephems". Medicinal Research Reviews. 1 (3): 217–48. doi:10.1002/med.2610010302. PMID 6213825. S2CID 45623930.
  7. Narisada, Masayuki; Onoue, Hiroshi; Nagata, Wataru (1977). "Synthetic Studies on b-Lactam Antibiotics. Part 5. A Synthesis of 7b-Acylamino-3-methyl-1-oxadethia-3-cephem-4-carboxylic Acids". Heterocycles. 7 (2): 839. doi:10.3987/S-1977-02-0839.
Identifiers:


This article is issued from Wmcloud. The text is licensed under Creative Commons - Attribution - Sharealike. Additional terms may apply for the media files.