Proxorphan
![]() | |
| Clinical data | |
|---|---|
| ATC code |
|
| Identifiers | |
IUPAC name
| |
| CAS Number | |
| PubChem CID | |
| ChemSpider | |
| UNII | |
| CompTox Dashboard (EPA) | |
| Chemical and physical data | |
| Formula | C19H25NO2 |
| Molar mass | 299.414 g·mol−1 |
| 3D model (JSmol) | |
SMILES
| |
Proxorphan (INN), also known as proxorphan tartate (USAN) (developmental code name BL-5572M), is an opioid analgesic and antitussive drug of the morphinan family that was never marketed.[1] It acts preferentially as a κ-opioid receptor partial agonist and to a lesser extent as a μ-opioid receptor partial agonist.[2][3][4][5][6]
Synthesis

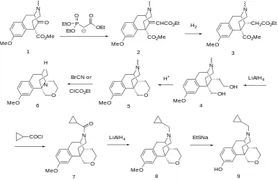
Starting material for this preparation is ketoester 1, available by one of the classical benzomorphan syntheses.[7] Condensation with the ylide from Triethyl phosphonoacetate (HWE reaction) affords diester 2. Catalytic hydrogenation proceeds from the less hindered face to afford the corresponding saturated diester (3). The esters are then reduced by means of LiAlH4 to give the glycol (4); this undergoes internal ether formation on treatment with acid to form the pyran ring of 5. Von Braun reaction with BrCN (or ethyl chloroformate) followed by saponification of the intermediate leads to the 2° amine (6). This is converted to the cyclopropylmethyl derivative 8 by acylation with cyclopropylcarbonyl chloride[8][9] followed by reduction of the thus formed amide (7) with LiAlH4. Cleaving off the O-methyl ether with sodium ethanethiol affords proxorphan (9).
See also
References
- ↑ Elks J (14 November 2014). The Dictionary of Drugs: Chemical Data: Chemical Data, Structures and Bibliographies. Springer. pp. 1041–. ISBN 978-1-4757-2085-3.
- ↑ Leander JD (October 1983). "Further study of kappa opioids on increased urination". The Journal of Pharmacology and Experimental Therapeutics. 227 (1): 35–41. PMID 6137557.
- ↑ Hayes AG, Birch PJ (August 1988). "Reversal by beta-funaltrexamine and 16-methyl cyprenorphine of the antinociceptive effects of opioid agonists in the mouse and guinea-pig". Neuropharmacology. 27 (8): 813–816. doi:10.1016/0028-3908(88)90096-2. PMID 3216959. S2CID 54433737.
- ↑ Picker MJ, Dykstra LA (May 1989). "Discriminative stimulus effects of mu and kappa opioids in the pigeon: analysis of the effects of full and partial mu and kappa agonists". The Journal of Pharmacology and Experimental Therapeutics. 249 (2): 557–566. PMID 2566680.
- ↑ Picker MJ, Craft RM, Negus SS, Powell KR, Mattox SR, Jones SR, et al. (November 1992). "Intermediate efficacy mu opioids: examination of their morphine-like stimulus effects and response rate-decreasing effects in morphine-tolerant rats". The Journal of Pharmacology and Experimental Therapeutics. 263 (2): 668–681. PMID 1331411.
- ↑ Testa B (22 October 2013). Advances in Drug Research. Elsevier. pp. 245–. ISBN 978-1-4832-8798-0.
- ↑ Barltrop JA (March 1947). "Syntheses in the morphine series; derivatives of bicyclo [3 : 3 : 1]-2-azanonane". Journal of the Chemical Society. 169: 399–401. doi:10.1039/JR9470000399. PMID 20240573.
- ↑ Zhang K, Lu M, Li Y (18 October 2018). "Synthesis of cyclopropanecarbonyl chloride". Chemical Industry Times. 17 (7): 36–38.
- ↑ U.S. patent 5,504,245
