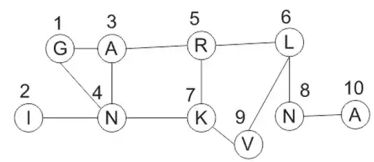
Let's take this graph for example:

Now let's say I'm starting at vertex 3 and want to find vertex 7. Depth first search (depending on the implementation) will look at the children first. Now, in our example, for the sake of the argument, I start at vertex 2, then go to vertex 4 and vertex 2, returns to vertex and goes to vertex 7, problem solved.
What I'd like: I'd like to get all the possible paths that would get me from x to y (e.g. 3 to 7: 3,1,4,7 - 3,5,7 - 3,4,7 - 3,5,6,9,7). That I don't get from Depth first search.
What is the algorithm you'd suggest?
Thank you!
 
     
    