I'm trying to figure out how non-destructive manipulation of large collections is implemented in functional programming, ie. how it is possible to alter or remove single elements without having to create a completely new collection where all elements, even the unmodified ones, will be duplicated in memory. (Even if the original collection would be garbage-collected, I'd expect the memory footprint and general performance of such a collection to be awful.)
This is how far I've got until now:
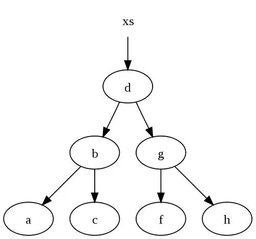
Using F#, I came up with a function insert that splits a list into two pieces and introduces a new element in-between, seemingly without cloning all unchanged elements:
// return a list without its first n elements:
// (helper function)
let rec skip list n =
if n = 0 then
list
else
match list with
| [] -> []
| x::xs -> skip xs (n-1)
// return only the first n elements of a list:
// (helper function)
let rec take list n =
if n = 0 then
[]
else
match list with
| [] -> []
| x::xs -> x::(take xs (n-1))
// insert a value into a list at the specified zero-based position:
let insert list position value =
(take list position) @ [value] @ (skip list position)
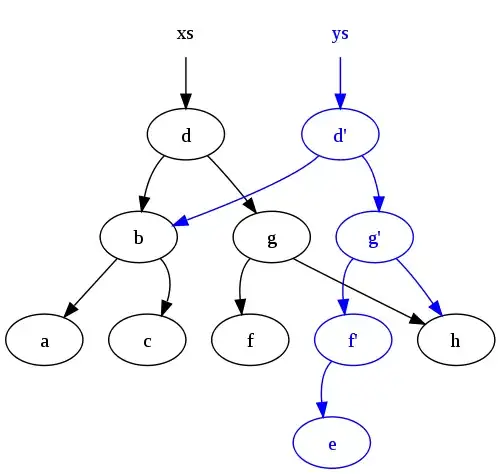
I then checked whether objects from an original list are "recycled" in new lists by using .NET's Object.ReferenceEquals:
open System
let (===) x y =
Object.ReferenceEquals(x, y)
let x = Some(42)
let L = [Some(0); x; Some(43)]
let M = Some(1) |> insert L 1
The following three expressions all evaluate to true, indicating that the value referred to by x is re-used both in lists L and M, ie. that there is only 1 copy of this value in memory:
L.[1] === x
M.[2] === x
L.[1] === M.[2]
My question:
Do functional programming languages generally re-use values instead of cloning them to a new memory location, or was I just lucky with F#'s behaviour? Assuming the former, is this how reasonably memory-efficient editing of collections can be implemented in functional programming?
(Btw.: I know about Chris Okasaki's book Purely functional data structures, but haven't yet had the time to read it thoroughly.)

