I ran into the following problem:
Given a positive integer n, generate all binary search trees with nodes 1, 2, ..., n.
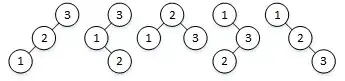
For example, given 3, one obtains:

I am doing the following:
Generate all the permutations of the sequence (1, 2, ..., n).
For each permutation p:
Create a tree t.
For each number n in p:
Insert n into t.
If t has not yet been generated, keep it. <-- Expensive Operation
However, this approach is slow because duplicate trees are generated (for n = 3, (2, 1, 3) and (2, 3, 1) generate the same tree), and I need to ensure they are not kept. Would someone point me toward a faster approach?