void level_order_recursive(struct node *t , int h) //'h' is height of my binary tree
{                                                 //'t' is address of root node
    for(int i = 0 ; i <= h ; i++)  
    {
        print_level(t , i);
    }
} 
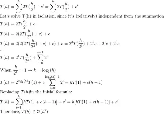
After print_level() is called everytime , I think recursive function is called (2^i) times . So 2^0 + 2^1 + 2^2 ....2^h should give time complexity of O(2^n).Where am I going wrong ?
void print_level(struct node * t , int i)
{
    if( i == 0)
        cout << t -> data <<" ";
    else
        {
            if(t -> left != NULL)
                print_level(t -> left , i - 1);   //recursive call
            if(t -> right != NULL)
                print_level(t -> right , i - 1); //recursive call
        }
}
 
     
     
     
    
 
    