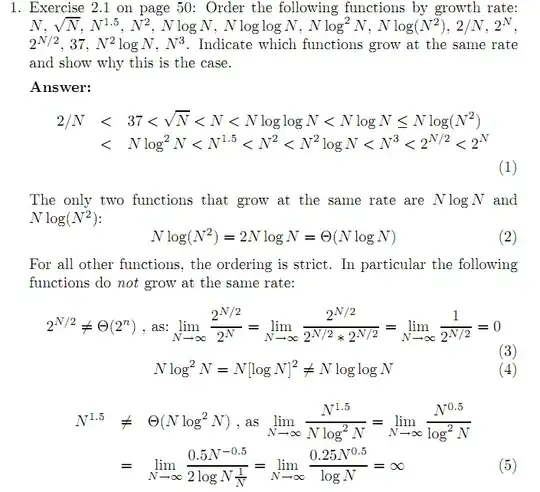
Lets say i want to print a variable that i create dinamicly with HTML syntax. In my HTML i want to print the new HTML but i dont know how.
If i print the variable in the HTML, it would print it like a Text.
This is the HTML i want to print:
this.content = this.elementRef.nativeElement.querySelectorAll('sys-tab-content');
but if i print this:
<div>
  {{content[0]}}
</div>
it would just print the text and not like a HTML
EDIT I just want to print this object inside my HTML, excatly as it is.. but When i print it, it just prints what i told you: [object HTMLElement]
Is there a way for me to print this Elements, i know it is not HTML but components.

 
    