As complement to the accepted answer, I will answer the following questions
- What is the interpretation of MSE loss and cross entropy loss from probability perspective?
- Why cross entropy is used for classification and MSE is used for linear regression?
TL;DR Use MSE loss if (random) target variable is from Gaussian distribution and categorical cross entropy loss if (random) target variable is from Multinomial distribution.
MSE (Mean squared error)
One of the assumptions of the linear regression is multi-variant normality. From this it follows that the target variable is normally distributed(more on the assumptions of linear regression can be found here and here).
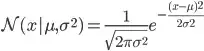
Gaussian distribution(Normal distribution) with mean
and variance
is given by

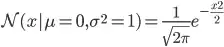
Often in machine learning we deal with distribution with mean 0 and variance 1(Or we transform our data to have mean 0 and variance 1). In this case the normal distribution will be,
This is called standard normal distribution.
For normal distribution model with weight parameter
and precision(inverse variance) parameter
, the probability of observing a single target t given input x is expressed by the following equation
, where
is mean of the distribution and is calculated by model as

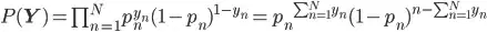
Now the probability of target vector
given input
can be expressed by

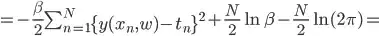
Taking natural logarithm of left and right terms yields


Where
is log likelihood of normal function. Often training a model involves optimizing the likelihood function with respect to
. Now maximum likelihood function for parameter
is given by (constant terms with respect to
can be omitted),

For training the model omitting the constant
doesn't affect the convergence.
This is called squared error and taking the mean yields mean squared error.
,
Cross entropy
Before going into more general cross entropy function, I will explain specific type of cross entropy - binary cross entropy.
Binary Cross entropy
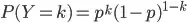
The assumption of binary cross entropy is probability distribution of target variable is drawn from Bernoulli distribution. According to Wikipedia
Bernoulli distribution is the discrete probability distribution of a random variable which
takes the value 1 with probability p and the value 0
with probability q=1-p
Probability of Bernoulli distribution random variable is given by
, where
and p is probability of success.
This can be simply written as

Taking negative natural logarithm of both sides yields
, this is called binary cross entropy.
Categorical cross entropy
Generalization of the cross entropy follows the general case
when the random variable is multi-variant(is from Multinomial distribution
) with the following probability distribution

Taking negative natural logarithm of both sides yields categorical cross entropy loss.
,