20

Since the trigonometric functions in java.lang.Math are quite slow: is there a library that does a quick and good approximation? It seems possible to do a calculation several times faster without losing much precision. (On my machine a multiplication takes 1.5ns, and java.lang.Math.sin 46ns to 116ns). Unfortunately there is not yet a way to use the hardware functions.

UPDATE: The functions should be accurate enough, say, for GPS calculations. That means you would need at least 7 decimal digits accuracy, which rules out simple lookup tables. And it should be much faster than java.lang.Math.sin on your basic x86 system. Otherwise there would be no point in it.

For values over pi/4 Java does some expensive computations in addition to the hardware functions. It does so for a good reason, but sometimes you care more about the speed than for last bit accuracy.

Dr. Hans-Peter Störr
  • 25,298
  • 30
  • 102
  • 139
  • How quick, and how good? You can always just use the first few terms of the Taylor series... that's *very* quick and as good as you care to make it. – kquinn Feb 07 '09 at 09:47
  • NEVER use Taylor series. See my answer http://stackoverflow.com/questions/345085/how-do-trigonometric-functions-work/394512#394512 – Jason S Feb 07 '09 at 22:33
  • Completely wrong, there's a time and place for every approximation. Sure, I wouldn't normally use more than two or three terms of a Taylor approximation, but for sine, cosine, and exponentials they converge quite nicely. Take a numerical analysis class or two and you might learn something. – kquinn Feb 07 '09 at 22:46
  • I stand by my comment. Never use Taylor series. They're optimized for function evaluation very close to a single point. x - x^3/6 starts to lose at values over about pi/4 and even then the accuracy is crude. A least-squares fit is pretty easy to do. – Jason S Feb 09 '09 at 14:47
  • Ignore Jason. Taylor series is fine for trig functions, provided only that you do range reduction first. – Die in Sente Feb 09 '09 at 17:07
  • If you're trying to get a specified accuracy, and you're trying to optimize performance, it makes sense to minimize the polynomial degree. Given those constraints, least-squares or Chebyshev will almost certainly do better than Taylor series. – Jason S Feb 09 '09 at 20:04
  • CORDIC works great for range reduction on microcontrollers where multiplication is expensive. But if multiplication is cheap, you're better off leaving the range either [-pi/2,pi/2) or [-pi/4,pi/4) and using a polynomial of minimal acceptable degree. – Jason S Feb 09 '09 at 20:12
  • 1
    Taylor series can be surprisingly accurate: [Taylor series approximations, illustrated](http://dotancohen.com/eng/taylor-sine.php). – dotancohen Jul 18 '12 at 10:16

12 Answers12

15

Computer Approximations by Hart. Tabulates Chebyshev-economized approximate formulas for a bunch of functions at different precisions.

Edit: Getting my copy off the shelf, it turned out to be a different book that just sounds very similar. Here's a sin function using its tables. (Tested in C since that's handier for me.) I don't know if this will be faster than the Java built-in, but it's guaranteed to be less accurate, at least. :) You may need to range-reduce the argument first; see John Cook's suggestions. The book also has arcsin and arctan.

#include <math.h>
#include <stdio.h>

// Return an approx to sin(pi/2 * x) where -1 <= x <= 1.
// In that range it has a max absolute error of 5e-9
// according to Hastings, Approximations For Digital Computers.
static double xsin (double x) {
  double x2 = x * x;
  return ((((.00015148419 * x2
             - .00467376557) * x2
            + .07968967928) * x2
           - .64596371106) * x2
          + 1.57079631847) * x;
}

int main () {
  double pi = 4 * atan (1);
  printf ("%.10f\n", xsin (0.77));
  printf ("%.10f\n", sin (0.77 * (pi/2)));
  return 0;
}
Community
  • 1
  • 1
Darius Bacon
  • 14,921
  • 5
  • 53
  • 53
  • Looks like some form of Taylor series approximation. See the general formula's here: https://en.wikipedia.org/wiki/Taylor_series#List_of_Maclaurin_series_of_some_common_functions – Ozzy Jun 16 '13 at 10:52
13

Here is a collection of low-level tricks for quickly approximating trig functions. There is example code in C which I find hard to follow, but the techniques are just as easily implemented in Java.

Here's my equivalent implementation of invsqrt and atan2 in Java.

I could have done something similar for the other trig functions, but I have not found it necessary as profiling showed that only sqrt and atan/atan2 were major bottlenecks.

public class FastTrig
{
  /** Fast approximation of 1.0 / sqrt(x).
   * See <a href="http://www.beyond3d.com/content/articles/8/">http://www.beyond3d.com/content/articles/8/</a>
   * @param x Positive value to estimate inverse of square root of
   * @return Approximately 1.0 / sqrt(x)
   **/
  public static double
  invSqrt(double x)
  {
    double xhalf = 0.5 * x; 
    long i = Double.doubleToRawLongBits(x);
    i = 0x5FE6EB50C7B537AAL - (i>>1); 
    x = Double.longBitsToDouble(i);
    x = x * (1.5 - xhalf*x*x); 
    return x; 
  }

  /** Approximation of arctangent.
   *  Slightly faster and substantially less accurate than
   *  {@link Math#atan2(double, double)}.
   **/
  public static double fast_atan2(double y, double x)
  {
    double d2 = x*x + y*y;

    // Bail out if d2 is NaN, zero or subnormal
    if (Double.isNaN(d2) ||
        (Double.doubleToRawLongBits(d2) < 0x10000000000000L))
    {
      return Double.NaN;
    }

    // Normalise such that 0.0 <= y <= x
    boolean negY = y < 0.0;
    if (negY) {y = -y;}
    boolean negX = x < 0.0;
    if (negX) {x = -x;}
    boolean steep = y > x;
    if (steep)
    {
      double t = x;
      x = y;
      y = t;
    }

    // Scale to unit circle (0.0 <= y <= x <= 1.0)
    double rinv = invSqrt(d2); // rinv ≅ 1.0 / hypot(x, y)
    x *= rinv; // x ≅ cos θ
    y *= rinv; // y ≅ sin θ, hence θ ≅ asin y

    // Hack: we want: ind = floor(y * 256)
    // We deliberately force truncation by adding floating-point numbers whose
    // exponents differ greatly.  The FPU will right-shift y to match exponents,
    // dropping all but the first 9 significant bits, which become the 9 LSBs
    // of the resulting mantissa.
    // Inspired by a similar piece of C code at
    // http://www.shellandslate.com/computermath101.html
    double yp = FRAC_BIAS + y;
    int ind = (int) Double.doubleToRawLongBits(yp);

    // Find φ (a first approximation of θ) from the LUT
    double φ = ASIN_TAB[ind];
    double cφ = COS_TAB[ind]; // cos(φ)

    // sin(φ) == ind / 256.0
    // Note that sφ is truncated, hence not identical to y.
    double sφ = yp - FRAC_BIAS;
    double sd = y * cφ - x * sφ; // sin(θ-φ) ≡ sinθ cosφ - cosθ sinφ

    // asin(sd) ≅ sd + ⅙sd³ (from first 2 terms of Maclaurin series)
    double d = (6.0 + sd * sd) * sd * ONE_SIXTH;
    double θ = φ + d;

    // Translate back to correct octant
    if (steep) { θ = Math.PI * 0.5 - θ; }
    if (negX) { θ = Math.PI - θ; }
    if (negY) { θ = -θ; }

    return θ;
  }

  private static final double ONE_SIXTH = 1.0 / 6.0;
  private static final int FRAC_EXP = 8; // LUT precision == 2 ** -8 == 1/256
  private static final int LUT_SIZE = (1 << FRAC_EXP) + 1;
  private static final double FRAC_BIAS =
    Double.longBitsToDouble((0x433L - FRAC_EXP) << 52);
  private static final double[] ASIN_TAB = new double[LUT_SIZE];
  private static final double[] COS_TAB = new double[LUT_SIZE];

  static
  {
    /* Populate trig tables */
    for (int ind = 0; ind < LUT_SIZE; ++ ind)
    {
      double v = ind / (double) (1 << FRAC_EXP);
      double asinv = Math.asin(v);
      COS_TAB[ind] = Math.cos(asinv);
      ASIN_TAB[ind] = asinv;
    }
  }
}
finnw
  • 47,861
  • 24
  • 143
  • 221
  • I'm not going to downvote due to the variable names, but would you like to maintain code with identifiers such as `משתנה` and `פונקציה`? – dotancohen Jul 17 '12 at 12:41
  • @dotancohen: Is that how my variable names render for you? I posted them in UTF-8. Sounds like your browser is guessing the encoding incorrectly (CP1255?) – finnw Jul 17 '12 at 13:13
  • No, my browser properly renders the Greek. However, if Greek identifiers are fair game, then why not Hebrew, or even Korean? I was trying to illustrate that although our tools can be abused, we really shouldn't abuse them for the sake of those who come after us. Even in code that is mean for "internal use only", your son or undergrad might inherit it! And yes, my three year old said "public static void main" today! – dotancohen Jul 17 '12 at 15:49
  • 5
    @dotancohen, because I am using those Greek letters only for well-established meanings (i.e. known to most English speakers with a bit of math knowledge.) – finnw Jul 17 '12 at 16:53
  • Yes, but how would you like the maintainer to type them? Or when he updates Java N to Java N+Z where N+Z needs foobar() replaced with doodad() and the Perl script that does the conversion doesn't support codepoints > 127. Yes, this happened in PHP 3 -> 4 and also Python 2 -> 3. Lots of legacy Java code won't run in the latest JVM and a Perl script could fix and recompile those. That is just one example of many why I don't recommend using non-ASCII identifiers. – dotancohen Jul 17 '12 at 19:09
  • @dotancohen, I would blame the Perl script (not my source) for that. Java has always allowed all unicode characters (and any alphanumeric unicode character in identifiers.) Any tool that cannot deal with that is broken. It's not difficult to implement either. If the author hasn't considered non-ASCII characters, there's a good chance they have been complacent with other aspects of the script, and I would avoid it anyway. – finnw Jul 17 '12 at 20:05
  • If there's a *good* reason to avoid non-ASCII characters, it's editors. Only a handful can handle the necessary font-mixing (where a character is not in the user's preferred font but another installed font has it.) – finnw Jul 17 '12 at 20:10
  • You are right of course, concerning both the scripts and the editors. But robust programming is in identifying where the potential pitfalls _will be_ and taking the appropriate measures. The problem is in the script, no doubt, but why code a program that won't parse in a broken script when you could just as easily code a program that will? – dotancohen Jul 18 '12 at 10:13
  • 2
    loving the unicode variable names! They actually make the math code much clearer! – DisplayName Mar 14 '14 at 03:15
  • @Bjarke yah, this one helps a lot `θ = -θ` ;-) – mljrg Feb 23 '17 at 01:03
  • Hey @finnw I was trying to run this code but due to greek identifier names my java compiler throws error. I am using java 11 and intellij IDEA. I applied UTF-8 and UTF-16 encoding in intelliJ and in maven POM file but its still not working and it has erros in code editor pad as well compilation failure due to "non ascii character found in identifier" can you help me to run this ? – Mubasher Mar 31 '23 at 20:35
  • @Mubasher I don't know the answer, but the language spec does allow it. I would guess it's a code style checker in the IDE. I can open and build the original file in VS Code with no issues. – finnw May 13 '23 at 21:40
5

That might make it : http://sourceforge.net/projects/jafama/

Joe
  • 1
  • 1
  • 1
4

On the x86 the java.lang.Math sin and cos functions do not directly call the hardware functions because Intel didn't always do such a good job implimenting them. There is a nice explanation in bug #4857011.

http://bugs.sun.com/bugdatabase/view_bug.do?bug_id=4857011

You might want to think hard about an inexact result. It's amusing how often I spend time finding this in others code.

"But the comment says Sin..."

Cam
  • 14,930
  • 16
  • 77
  • 128
  • I don't understand your comment after the link. What kind of bug are you talking about? – Dr. Hans-Peter Störr Feb 08 '09 at 12:22
  • 1
    Especially liked the "Neither the almabench code nor the code submitted in this bug actually examine the results to verify they are sensible." comment in the closing message. – David Schmitt Nov 03 '09 at 14:38
  • If code is wants to compute the sine or cosine of an angle measured in something other than radians (probably true 99% of the time sine and cosine are involved), accuracy will be optimal if the `sin` and `cos` functions pretend that the value of pi is *whatever was used in the angle-to-radians conversion*. What that document refers to as "inaccuracies in `sin(x)` improve the accuracy with which `Math.sin(x*(2.0*Math.Pi))` computes sin(2πx). Likewise the supposed improvements actually make the evaluation of sin(2πx) generally less accurate. Indeed, for some values of x, ... – supercat Jun 07 '14 at 17:54
  • ...using mod(`Math.PI * 2.0`) reduction would allow the formula to compute sin(2πx) pretty well even when x was large, with errors distributed to either side of zero. The "improved" reduction does nothing to eliminate rounding errors in the multiplication, but adds an additional systematic bias which underestimates angles by a factor of about 3E-17. – supercat Jun 07 '14 at 18:04
4

I'm surprised that the built-in Java functions would be so slow. Surely the JVM is calling the native trig functions on your CPU, not implementing the algorithms in Java. Are you certain your bottleneck is calls to trig functions and not some surrounding code? Maybe some memory allocations?

Could you rewrite in C++ the part of your code that does the math? Just calling C++ code to compute trig functions probably wouldn't speed things up, but moving some context too, like an outer loop, to C++ might speed things up.

If you must roll your own trig functions, don't use Taylor series alone. The CORDIC algorithms are much faster unless your argument is very small. You could use CORDIC to get started, then polish the result with a short Taylor series. See this StackOverflow question on how to implement trig functions.

Community
  • 1
  • 1
John D. Cook
  • 29,517
  • 10
  • 67
  • 94
3

You could pre-store your sin and cos in an array if you only need some approximate values. For example, if you want to store the values from 0° to 360°:

double sin[]=new double[360];
for(int i=0;i< sin.length;++i) sin[i]=Math.sin(i/180.0*Math.PI):

you then use this array using degrees/integers instead of radians/double.

Pierre
  • 34,472
  • 31
  • 113
  • 192
  • Yes, but this is very inaccurate. I was thinking of something better, like polynomial interpolation. – Dr. Hans-Peter Störr Feb 07 '09 at 11:30
  • Reminds of the good old pre-calculation days like doom ... Anyway, you can increase the accuracy by not generating just 360 values but e.g. 0xffff values. – mark Feb 07 '09 at 12:45
  • 1
    @hstoerr: why inaccurate? It is as precise as the length of the array (ie. the granularity of the angle). That's the good old tradeoff between speed and memory, and performance is optimal here. – PhiLho Feb 07 '09 at 17:40
  • If you want to have 7 decimal digits accuracy, as you would need for GPS calculations, you would need 10000000 values. You probably don't want to precalculate that much, do you? – Dr. Hans-Peter Störr Feb 07 '09 at 19:17
1

I haven't heard of any libs, probably because it's rare enough to see trig heavy Java apps. It's also easy enough to roll your own with JNI (same precision, better performance), numerical methods (variable precision / performance ) or a simple approximation table.

As with any optimization, best to test that these functions are actually a bottleneck before bothering to reinvent the wheel.

patros
  • 7,719
  • 3
  • 28
  • 37
  • Using JNI for a single Math.sin call probably won't work because of the overhead. Perhaps if you put more of your program in C, but then you could've written it in C to start with. – wds Feb 07 '09 at 13:34
  • 3
    Faced with a similar problem a few years ago, the JNI overhead to call an empty function was slower than a call Math.sin(). That was with 1.3 or 1.4, so it may have changed, but afaik it's not significantly different now. – Pete Kirkham Feb 07 '09 at 21:28
1

Trigonometric functions are the classical example for a lookup table. See the excellent

If you're searching a library for J2ME you can try:

  • the Fixed Point Integer Math Library MathFP
axelclk
  • 950
  • 9
  • 28
0

The java.lang.Math functions call the hardware functions. There should be simple appromiations you can make but they won't be as accurate.

On my labtop, sin and cos takes about 144 ns.

Peter Lawrey
  • 525,659
  • 79
  • 751
  • 1,130
  • 1
    As far as I know they do not use the hardware functions. The Javadoc of Math.sin says the result must be accurate up to the next to last bit, which hardware implementations might not meet. So it is in software. – Dr. Hans-Peter Störr Feb 07 '09 at 11:27
  • I tried on my system - 2ns for a multiplication, 46ns for Math.sin. That can't be hardware - sin isn't THAT much slower. – Dr. Hans-Peter Störr Feb 07 '09 at 19:18
  • 1
    Yeah, it can. On the x87 FPU, multiplies are around 4 cycles, and sine is in the range of 100. So that result is entirely consistent with a 2GHz processor evaluating them in hardware. – kquinn Feb 07 '09 at 23:07
  • OK, I'll have to check the same thing in C++ or something. Still: the time to calculate depends on the argument. If you calculate the sin of 0.1 it takes 46ns, if you calculate the sin of 6.28 it's 115ns. That's not the hardware, isn't it? – Dr. Hans-Peter Störr Feb 08 '09 at 09:25
  • hstoerr: the bug cited by Bruce ONeel has details why bigger arguments lead to longer calculation times. Basically, Intel's sin/cos implementation sucks golfballs through gardenhoses for arguments outside of [-pi/4,pi/4] and the JVM has to manually map the argument into this range. – David Schmitt Nov 03 '09 at 14:41
0

In the sin/cos test I was performing for integers zero to one million. I assume that 144 ns is not fast enough for you.

Do you have a specific requirement for the speed you need?

Can you qualify your requirement in terms of time per operation which is satisfactory?

Peter Lawrey
  • 525,659
  • 79
  • 751
  • 1,130
-1

Check out Apache Commons Math package if you want to use existing stuff.

If performance is really of the essence, then you can go about implementing these functions yourself using standard math methods - Taylor/Maclaurin series', specifically.

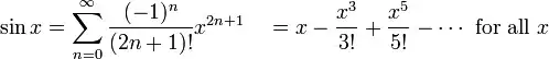
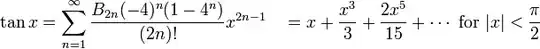
For example, here are several Taylor series expansions that might be useful (taken from wikipedia):

alt text

alt text

alt text

Community
  • 1
  • 1
Yuval Adam
  • 161,610
  • 92
  • 305
  • 395
  • 1
    commons math is a very good tip, but I did not find any faster replacement for Math.sin, for example. Is there? – Dr. Hans-Peter Störr Feb 07 '09 at 11:22
  • The taylor series is probably not faster if you want to have reasonable accuracy. You have to do something more clever, like using piecewise polynomials. – Dr. Hans-Peter Störr Feb 07 '09 at 11:23
  • Use CORDIC to reduce the arguments before applying Taylor series. See http://stackoverflow.com/questions/345085/how-do-trigonometric-functions-work/345117#345117 – John D. Cook Feb 07 '09 at 13:44
  • NEVER use Taylor series to approximate functions. see my comment http://stackoverflow.com/questions/345085/how-do-trigonometric-functions-work/394512#394512 – Jason S Feb 07 '09 at 22:32
-1

Could you elaborate on what you need to do if these routines are too slow. You might be able to do some coordinate transformations ahead of time some way or another.

Thorbjørn Ravn Andersen
  • 73,784
  • 33
  • 194
  • 347