I am working with complex-valued neural networks.
For Complex-valued neural networks Wirtinger calculus is normally used. The definition of the derivate is then (take into acount that functions are non-Holomorphic because of Liouville's theorem):

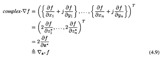
If you take Akira Hirose book "Complex-Valued Neural Networks: Advances and Applications", Chapter 4 equation 4.9 defines:

Where the partial derivative is also calculated using Wirtinger calculus of course.
Is this the case for tensorflow? or is it defined in some other way? I cannot find any good reference on the topic.
