I'm experimenting with Python/Pandas using a DataFrame having the following structure:
import pandas as pd
import numpy as np
df = pd.DataFrame({"item" : ["A", "B", "C", "D", "E"], 
                   "size_ratio" : [0.3, 0.9, 1, 0.4, 0.7], 
                   "weight_ratio" : [0.5, 0.7, 1, 0.5, np.nan], 
                   "power_ratio" : [np.nan, 0.3, 0.5, 0.1, 1]})
print(df)
  item  size_ratio  weight_ratio  power_ratio
0    A         0.3           0.5          NaN
1    B         0.9           0.7          0.3
2    C         1.0           1.0          0.5
3    D         0.4           0.5          0.1
4    E         0.7           NaN          1.0
As you can see, each item is described by three normalized metrics, namely: size_ratio, weight_ratio, and power_ratio. Also, NaN values are possible for each metric. 
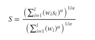
My goal is to combine these metrics together to create a global score (S) for each row. Specifically, the function I would like to apply/implement is the following:
where
- s_i are the individual scores;
- w_i are user-defined weights associated to each metric;
- alpha is a user-defined parameter (positive integer).
I want to be able to quickly adjust the weights and the parameter alpha to test different combinations.
As an example, setting w_1 = 3, w_2 = 2, w_3 = 1 and alpha = 5, the output should be the following:
  item  size_ratio  weight_ratio  power_ratio  global_score
0    A         0.3           0.5          NaN          0.36
1    B         0.9           0.7          0.3          0.88
2    C         1.0           1.0          0.5          0.99
3    D         0.4           0.5          0.1          0.44
4    E         0.7           NaN          1.0          0.70
Note that for the denominator, we only sum the weights associated to the non-missing metrics (same logic goes for the numerator).
Being relatively new to the Python programming language, I started by searching for answers here. In this post, I learned how to compute row-wise operation on a pandas DataFrame with missing values; and in this post, I saw an example where one uses a dictionary to set the weights.
Unfortunately, I was not able to apply what I found to my specific problem. Right now, I'm using Excel to make different simulations but I would very much like to experiment with this in Python. Any help would be greatly appreciated.

 
    