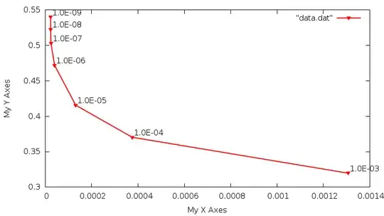
I have an archive "curva-l" with the data:
2.308E-05 5.397E-01 1.0E-09
2.318E-05 5.224E-01 1.0E-08
2.426E-05 5.029E-01 1.0E-07
4.012E-05 4.718E-01 1.0E-06
1.311E-04 4.155E-01 1.0E-05
3.751E-04 3.703E-01 1.0E-04
1.306E-03 3.197E-01 1.0E-03
The first column is the axis X, the second Y, and the third is the value of each point. I would like to plot this curve with lines and label each point with the their respective value.

