Programmer by day, Gamer by night.
Pythagoras Theorem Proof
The Pattern of Prime Numbers
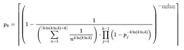
Given primes
predict the next prime
without searching, sieving or primality checks:
Programmer by day, Gamer by night.
Pythagoras Theorem Proof
The Pattern of Prime Numbers
Given primes
predict the next prime
without searching, sieving or primality checks: