Alimadol
Not to be confused with adimolol.
![]() | |
Clinical data | |
---|---|
ATC code |
|
Identifiers | |
| |
CAS Number | |
PubChem CID | |
ChemSpider | |
UNII | |
ChEMBL | |
CompTox Dashboard (EPA) | |
Chemical and physical data | |
Formula | C19H23NO |
Molar mass | 281.399 g·mol−1 |
3D model (JSmol) | |
| |
|
Alimadol (INN; A-4020) is an opioid analgesic related to methadone which was never marketed.[1]
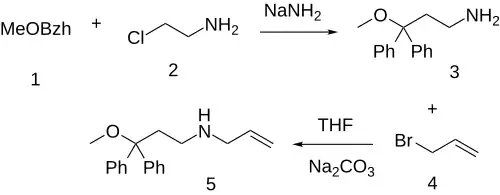
Synthesis

- benzhydryl methyl ether [1016-09-7] (1)
- β-chloroethylamine [689-98-5] (2)
- 1,1-Diphenyl-1-methoxy-3-aminopropane: PC21534188 (3)
- Allyl bromide [106-95-6] (4)
See also
References
- ^ Ganellin CR, Triggle DJ (1997). Dictionary of Pharmacological Agents. CRC Press. p. 47. ISBN 978-0-412-46630-4. Retrieved 11 May 2012.
- ^ US 3960960, Hollinger R, Wendtlandt W, Schneider G, "1,1-Diphenyl-1-lower alkoxy-amino-alkanes and the salts thereof", issued 1 June 1976, assigned to Chemie Linz AG
- ^ Hoellinger Roderich Dr, CH478088A (1969 to Chemie Linz Ag).
μ-opioid (MOR) |
| ||||
---|---|---|---|---|---|
δ-opioid (DOR) |
| ||||
κ-opioid (KOR) |
| ||||
Nociceptin (NOP) |
| ||||
Others |
|
This article is issued from Wikipedia. The text is available under Creative Commons Attribution-Share Alike 4.0 unless otherwise noted. Additional terms may apply for the media files.