Ibogaine
![]() | |
![]() | |
Clinical data | |
---|---|
Other names | 12-Methoxyibogamine |
Routes of administration | Oral |
Drug class | Hallucinogen; Oneirogen; Stimulant |
ATC code |
|
Legal status | |
Legal status |
|
Pharmacokinetic data | |
Elimination half-life | Ibogaine: 7 hours[3] Noribogaine: 24–50 hours[4][5] |
Identifiers | |
| |
CAS Number | |
PubChem CID | |
ChemSpider | |
UNII | |
ChEBI | |
ChEMBL | |
CompTox Dashboard (EPA) | |
ECHA InfoCard | 100.001.363 |
Chemical and physical data | |
Formula | C20H26N2O |
Molar mass | 310.441 g·mol−1 |
3D model (JSmol) | |
Melting point | 152 to 153 °C (306 to 307 °F) |
| |
| |
(verify) |
Ibogaine is a psychoactive indole alkaloid derived from plants such as Tabernanthe iboga, characterized by hallucinogenic and oneirogenic effects.[6] Traditionally used by Central African foragers, it has undergone controversial research for the treatment of substance use disorders. Ibogaine exhibits complex pharmacology by interacting with multiple neurotransmitter systems, notably affecting opioid, serotonin, sigma, and NMDA receptors, while its metabolite noribogaine primarily acts as a serotonin reuptake inhibitor and κ-opioid receptor agonist.
The psychoactivity of the root bark of the iboga tree, T. iboga, one of the plants from which ibogaine is extracted, was first discovered by forager tribes in Central Africa, who passed the knowledge to the Bwiti tribe of Gabon. It was first documented in the 19th century for its spiritual use, later isolated and synthesized for its psychoactive properties, briefly marketed in Europe as a stimulant, and ultimately researched—and often controversial—for its potential in treating addiction despite being classified as a controlled substance. Ibogaine can be semisynthetically produced from voacangine, with its total synthesis achieved in 1956 and its structure confirmed by X-ray crystallography in 1960. Ibogaine has been studied for treating substance use disorders, especially opioid addiction, by alleviating withdrawal symptoms and cravings, but its clinical use and development has been limited due to regulatory barriers and serious safety risks like cardiotoxicity. A 2022 systematic review suggested that ibogaine and noribogaine show promise in treating substance use disorders and comorbid depressive symptoms and psychological trauma but carry serious safety risks, necessitating rigorous clinical oversight.[7]
Ibogaine produces a two-phase experience—initially visionary and dream-like with vivid imagery and altered perception, followed by an introspective period marked by lingering side effects like nausea and mood disturbances, which may persist for days. Long-term risks include mania and heart issues such as long QT syndrome, and potential fatal interactions with other drugs.
Ibogaine is federally illegal in the United States, but is used in treatment clinics abroad under legal gray areas, with growing media attention highlighting both its potential and risks in addiction therapy. It has inspired the development of non-hallucinogenic, non-cardiotoxic analogues like 18-MC and tabernanthalog for therapeutic use. In 2025, Texas allocated $50 million for clinical research on ibogaine to develop FDA-approved treatments for opioid use disorder, co-occurring substance use disorders, and other ibogaine-responsive conditions.
Psychoactive effects
Ibogaine is derived from the root of Tabernanthe iboga, a plant known to exhibit psychedelic effects in its users.[8] Ibogaine is administered orally at a typical dose of 3–30 mg/kg. Effects first become noticeable 1–3 hours after administration.[9][10] The subjective effects of ibogaine consist of two phases, a visionary phase followed by an introspective phase.
The visionary phase is a dreamlike, conscious state called oneirophrenia. Visual effects are almost always present and are often described as films or slideshows. These may be accompanied by increases in long-term recall of visual memory, resulting in autobiographical content. Other changes to sensation and perception may occur, including auditory hallucinations or distortions. Nausea and vomiting can be severe. Subjects may experience extreme confusion and/or a depressed mood. The visionary stage typically lasts 4–8 hours, but may last longer with especially high doses.[11][12]
The introspective is poorly defined, often simply as 24 or 36 hours post-treatment. Sensation and perception return to normal, but nausea, headaches, and other side effects linger. Insomnia, irritability, and mood changes are often seen, including depression and sometimes mania. Depression can persist well after 36 hours, known as a "grey day"; the effect is well-recognized. A persistently low mood can progress into major depressive disorder, a chronic condition. For the treatment of opioid or alcohol addiction, the subjective experiences do not appear to be important, although they are correlated to some secondary measures (e.g. satisfaction in self-assessments).[13]
Uses

Medical
Ibogaine has been studied for its potential medical use in treating substance use disorders, particularly opioid addiction, by reducing withdrawal symptoms and cravings, though its use and clinical development have been limited by regulatory restrictions and serious safety concerns including cardiac risks.[7][14]
Adverse effects
Immediate adverse effects of ibogaine ingestion may include nausea, vomiting, tremors leading to ataxia, headaches, and mental confusion.[15] In long-term use, manic episodes may last for several days, possibly including insomnia, irritability, emotional instability, delusions, aggressive behavior, and thoughts of suicide.[15] In the heart, ibogaine causes long QT syndrome at higher doses, apparently by blocking hERG potassium channels and slowing the heart rate.[16][17] Ibogaine should not be used during pregnancy or breastfeeding.[15]
Ibogaine has potential for adverse interactions with other psychedelic agents and prescription drugs.[15][17] Death can occur,[17] especially if consumed with opioids or in people with comorbidities such as cardiovascular disease or neurological disorders.[15]
Neurotoxicity
Laboratory studies in rats indicate that high-dose ibogaine may cause degeneration of cerebellar Purkinje cells.[18] However, subsequent research found no evidence of neurotoxicity in a primate.[19]
In limited human research, neuropathological examination revealed no evidence of neuronal degenerative changes in an adult female patient who had received four separate doses of ibogaine ranging between 10 and 30 mg/kg over a 15-month interval.[19] A published series of fatalities associated with ibogaine ingestion found no evidence for consistent neurotoxicity.[20]
Pharmacology
Pharmacodynamics
Target | Affinity (Ki, nM) | Species |
---|---|---|
5-HT1A | >10,000 (Ki) IA (EC50 ) |
Human/rat Human |
5-HT1B | >100,000 (Ki) IA (EC50) |
Rat/calf Human |
5-HT1D | >100,000 (Ki) IA (EC50) |
Bovine/calf Human |
5-HT1E | ND (Ki) IA (EC50) |
ND Human |
5-HT1F | ND (Ki) IA (EC50) |
ND Human |
5-HT2A | 12,500–16,000 (Ki) IA (EC50) |
Rat Human |
5-HT2B | ND (Ki) IA (EC50) |
ND Human |
5-HT2C | >10,000 (Ki) IA (EC50) |
Rat/calf Human |
5-HT3 | 2,600–>10,000 (Ki) ND (EC50) |
Mouse/rat ND |
5-HT4 | ND (Ki) IA (EC50) |
ND Human |
5-HT5A | ND (Ki) IA (EC50) |
ND Human |
5-HT6 | ND (Ki) IA (EC50) |
ND Human |
5-HT7 | ND | ND |
α1A–α1D | ND | ND |
α2A–α2C | ND | ND |
β1 | >100,000 | Rat |
β2, β3 | ND | ND |
D1 | >10,000 | Human/calf |
D2 | >10,000 | Human/calf |
D3 | 70,000 | Calf |
D4 | >10,000 | Human |
D5 | ND | ND |
H1 | >10,000 | Unspecified |
H2–H4 | ND | ND |
M1 | 16,000–31,600 | Calf/unspecified |
M2 | 31,000–50,100 | Calf/unspecified |
M3 | 12,500 | Unspecified |
M4 | ND | ND |
M5 | ND | ND |
nACh | 1,050–17,000 (Ki) 220–5,000 (IC50 ) |
Human Unspecified |
I1, I2 | ND | ND |
σ1 | 2,500–9,310 | Guinea pig/calf |
σ2 | 90–400 | Rat/guinea pig/calf |
MOR | 6,920–11,040 (Ki) IA (EC50) <5% (Emax ) |
Human Human Human |
DOR | >100,000 (Ki) IA (EC50) |
Bovine Human |
KOR | 3,680–3,770 (Ki) ~12,000 (EC50) ~18–21% (Emax) |
Human Human Human |
NOP | >100,000 | Bovine |
TAAR1 | ND | ND |
PCP | 1,010–9,800 | Rat/bovine/human |
SERT | 549 (Ki) 3,037–29,000 (IC50) 153,000 or IA (EC50) |
Human Human Human |
NET | ND (Ki) >100,000 (IC50) |
Human Bovine |
DAT | 1,980 (Ki) 20,000 (IC50) IA (EC50) |
Human Rat Rat |
VMAT2 | 390–14,600 (IC50) | Human |
OCT2 | 9,310 (IC50) | Human |
VGSC | 3,600–8,100 (Ki) | Bovine/unspecified |
VGCC | 28,000 (IC50) | Unspecified |
hERG | 710 (Ki) 3,530–4,090 (IC50) |
Human Human |
Notes: The smaller the value, the more avidly the drug binds to the site. All proteins are human unless otherwise specified. Refs: [21][3][22][23][24][25][26][27][28] [29][30][31][32][33][34][35][36][37][38] |
Ibogaine affects many different neurotransmitter systems simultaneously and hence has complex pharmacology.[39][40][41] The specific targets mediating the effects of ibogaine are not fully clear.[42][41] The drug is a cyclized derivative of serotonin, and hence may be expected to have serotonergic actions, but shows relatively low affinity for serotonin receptors.[39] In any case, it appears that the serotonin 5-HT2A, 5-HT2C, sigma σ2, and μ- and/or κ-opioid receptors are involved in the subjective effects of ibogaine based on animal studies.[42][41] Conversely, the NMDA, serotonin 5-HT1A and 5-HT3, and sigma σ1 receptors do not appear to be involved.[42][41]
Noribogaine is most potent as a serotonin reuptake inhibitor. It acts as a moderate κ-opioid receptor agonist[43] and weak μ-opioid receptor agonist[43] or weak partial agonist.[44] It is possible that the action of ibogaine at the kappa opioid receptor may indeed contribute significantly to the psychoactive effects attributed to ibogaine ingestion; Salvia divinorum, another plant recognized for its strong hallucinogenic properties, contains the chemical salvinorin A, which is a highly selective kappa opioid agonist. Noribogaine is more potent than ibogaine in rat drug discrimination assays when tested for the subjective effects of ibogaine.[45]
There has been uncertainty about which biological target interactions mediate the psychoactive and other effects of ibogaine.[39][42][41] Rodent drug discrimination studies with ibogaine have been employed to help elucidate these interactions.[42][41] Ibogaine partially substitutes for the serotonergic psychedelics LSD and DOM and this can be blocked by the serotonin 5-HT2 receptor antagonist pizotifen.[42] Similarly, LSD and DOM partially substitute for ibogaine and this can be blocked by the serotonin 5-HT2A receptor antagonist pirenperone.[42][41][46] The serotonin releasing agent and potent serotonin 5-HT2 receptor agonist fenfluramine also partially substitutes for ibogaine.[42] The preferential serotonin 5-HT2C receptor agonists MK-212 and mCPP partially substitute for ibogaine as well and this can be blocked by the serotonin 5-HT2 receptor antagonist metergoline.[42] The preceding findings suggest that serotonin 5-HT2A and 5-HT2C receptor activation are involved in the subjective effects of ibogaine.[42][41] Conversely, the serotonin 5-HT1A and 5-HT3 receptors do not appear to be involved.[42][41]
Although serotonin 5-HT2A receptor signaling appears to be involved in the effects of ibogaine, neither ibogaine nor its major active metabolite noribogaine appear to act as direct serotonin 5-HT2A receptor agonists.[27] Relatedly, it has been said that the hallucinogenic effects of ibogaine cannot be ascribed to serotonin 5-HT2A receptor activation.[3] However, ibogaine has been found to have significant in vivo occupancy of the serotonin 5-HT2A receptor, suggesting that it is still a ligand of the receptor.[42]
The β-carbolines or harmala alkaloids bear a resemblance to ibogaine both in terms of chemical structure and subjective effects.[42] Relatedly, harmaline and 6-methoxyharmalan fully substitute for ibogaine, whereas harmine, harmane, harmalol, and tryptoline partially substitute for ibogaine.[42][41][47] As with the case of ibogaine, the psychedelic DOM partially substitutes for harmaline and this further supports a role of serotonin 5-HT2A receptor activation in the effects of ibogaine as well as of harmala alkaloids like harmaline.[42] However, like ibogaine, harmala alkaloids like harmaline failed to act as direct agonists of the serotonin 5-HT2A receptor even at very high concentrations in vitro.[47]
Ibogaine shows appreciable affinity for the NMDA receptor.[42] However, the NMDA receptor antagonists phencyclidine (PCP) and dizocilpine (MK-801) fail to substitute for ibogaine and ibogaine fails to substitute for these NMDA receptor antagonists in rodents and/or monkeys.[42][41] Hence, NMDA receptor antagonism does not appear to be involved in the subjective effects of ibogaine.[42][41] Neither μ-opioid receptor agonists nor κ-opioid receptor agonists like U-50,488 substitute for ibogaine.[42] In addition, the opioid antagonist naloxone did not substitute for ibogaine.[42] However, naltrexone partially substitute for ibogaine.[42] In addition, the mixed opioid agonists and antagonists pentazocine, diprenorphine, and nalorphine partially substituted for ibogaine and this could be antagonized by naloxone.[42] The preceding findings suggest a role of opioid receptors but not the NMDA receptor in the effects of ibogaine.[42][41]
The non-selective sigma receptor agonists DTG and (+)-3-PPP partially substitute for ibogaine, whereas the σ1 receptor-selective agonists (+)-SKF-10,047 and (+)-pentazocine failed to substitute for ibogaine.[42] These findings suggest a role of σ2 receptor signaling in the effects of ibogaine.[42]
In contrast to the findings in drug discrimination studies, ibogaine fails to produce the head-twitch response, a behavioral proxy of psychedelic effects, in rodents.[39][48] As such, it has been said that ibogaine does not appear to be acting primarily or exclusively as a serotonergic psychedelic.[39][48] This is said to be in accordance with its hallucinogenic effects being distinct from those of serotonergic psychedelics.[48][49]
Induction of gamma oscillations with a profile that resembles that of REM sleep may be involved in the hallucinogenic and oneirogenic effects of ibogaine.[39][50]
Ibogaine's major active metabolite noribogaine has similar discriminative stimulus properties as ibogaine, but only partially substitutes for ibogaine.[42][41] It appears that the stimulus properties of ibogaine may be primarily mediated by noribogaine.[42][41]
Pharmacokinetics
Ibogaine is metabolized in the human body by cytochrome P450 2D6 (CYP2D6) into noribogaine (more correctly, O-desmethylibogaine or 12-hydroxyibogamine). Both ibogaine and noribogaine have a plasma half-life around 2 hours in rats,[51] although the half-life of noribogaine is slightly longer than that of the parent compound.[3] In humans, the elimination half-life of ibogaine is about 7 hours whereas the half-life of noribogaine is 24 to 50 hours.[3][4][5] Ibogaine may be deposited in fat and metabolized into noribogaine as it is released.[52] After ibogaine ingestion in humans, noribogaine shows higher plasma levels than ibogaine and is detected for a longer period of time than ibogaine.[53]
Chemistry
Ibogaine is a substituted tryptamine. It has two separate chiral centers, meaning that four different stereoisomers of ibogaine exist, which are difficult to resolve.[54]
Synthesis
One recent total synthesis[55] of ibogaine and related drugs starts with 2-iodo-4-methoxyaniline which is reacted with triethyl((4-(triethylsilyl)but-3-yn-1-yl)oxy)silane using palladium acetate in DMF to form 2-(triethylsilyl)-3-(2-((triethylsilyl)oxy)ethyl)-1H-indole. This is converted using N-iodosuccinamide and then fluoride to form 2-(2-iodo-1H-indol-3-yl)ethanol. This is treated with iodine, triphenyl phosphine, and imidazole to form 2-iodo-3-(2-iodoethyl)-1H-indole. Then, using 7-ethyl-2-azabicyclo[2.2.2]oct-5-ene and cesium carbonate in acetonitrile, the ibogaine precursor 7-ethyl-2-(2-(2-iodo-1H-indol-3-yl)ethyl)-2-azabicyclo[2.2.2]oct-5-ene is obtained. Using palladium acetate in DMF, the ibogaine is obtained. If the exo ethyl group on the 2-azabicyclo[2.2.2]octane system in ibogaine is replaced with an endo ethyl, then epiibogaine is formed.
Crystalline ibogaine hydrochloride is typically produced by semisynthesis from voacangine in commercial laboratories.[56][57] It can be prepared from voacangine through one-step demethoxycarbonylation process too.[58]
In 2025, researchers at the University of California, Davis Institute for Psychedelics and Neurotherapeutics reported the total synthesis of ibogaine, ibogaine analogues, and related compounds from pyridine.[59][60]
Derivatives
A synthetic derivative of ibogaine, 18-methoxycoronaridine (18-MC), is a selective α3β4 antagonist that was developed collaboratively by neurologist Stanley D. Glick (Albany) and chemist Martin E. Kuehne (Vermont).[61] This discovery was stimulated by earlier studies on other naturally occurring analogues of ibogaine, such as coronaridine and voacangine, that showed these compounds to have anti-addictive properties.[62][63] More recently, non- and less-hallucinogenic analogs, tabernanthalog and ibogainalog, were engineered by scientists attempting to produce non-cardiotoxic ibogaine derivatives by removing the lipophilic isoquinuclidine ring. In animal models, both molecules failed to produce cardiac arrhythmias, and tabernanthalog failed to produce any head twitch response, suggesting psychedelic effects were absent.[64][65]
Biosynthesis

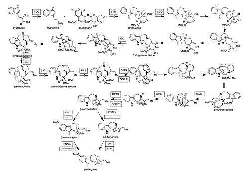
Ibogaine biosynthesis begins with tryptophan undergoing enzymatic decarboxylation by tryptophan decarboxylase (TDC) to form a tryptamine. Secologanin, an iridoid synthesized from isopentenyl pyrophosphate (IPP) and dimethylallyl pyrophosphate (DMAPP), is reacted with tryptamine to make strictosidine. A glycosidic bond cleavage of strictosidine by strictosidine β-deglucosidase (SGD) produces a lactol. The lactol opens and produces an aldehyde, then condenses to form an iminium. Through isomerization and reduction by geissoschizine synthase 1 (GS1), 19E-geissoschizine is yielded. The indole is oxidized and the molecule undergoes intramolecular Mannich reaction and Grob fragmentation to form preakuammicine. Preakuammicine is highly unstable and therefore reduced to stemmadenine by oxidation-reduction reactions (REDOX 1 and REDOX 2). Stemmadine is acylated by stemmadine Ο-acetyltransferase (SAT) to yield stemmadine acetate. Through oxidation by precondylocarpine acetate synthase (PAS) and reduction by dihydroprecondylocarpine acetate synthase (DPAS), an enamine intermediate is formed. The intermediate undergoes fragmentation to produce an iminium that tautomerizes to yield dehydrosecodine. Coronaridine synthase (CorS) catalyzes the isomerization of dehydrosecodine and an unusual cycloaddition is completed. The iminium is reduced by DPAS and NADPH to form (-)-coronaridine.
There are two pathways (-)-coronaridine can take to become (-)-ibogaine. The first pathway begins with a P450 enzyme, ibogamine-10-hydroxylase (I10H), and methylation of noribogaine-10-Ο-methyltransferase (N10OMT) to produce (-)-voacangine. Polyneudridine aldehyde esterase-like 1 (PNAE1) and a spontaneous decarboxylation can convert (-)-voacangine to (-)-ibogaine. The second pathway consists of PNAE1 and the spontaneous decarboxylation occurring first to yield (-)-ibogamine, then the reaction of I10H-mediated hydroxylation and N10OMT-catalyzed O-methylation to produce (-)-ibogaine.[66]
Natural occurrence
Ibogaine occurs naturally in iboga root bark. Ibogaine is also available in a total alkaloid extract of the Tabernanthe iboga plant, which also contains all the other iboga alkaloids and thus has only about half the potency by weight of standardized ibogaine hydrochloride.[56]
History
The use of iboga in African spiritual ceremonies was first reported by French and Belgian explorers in the 19th century, beginning with the work of French naval physician and explorer of Gabon Marie-Théophile Griffon du Bellay.[67] The first botanical description of the Tabernanthe iboga plant was made in 1889. Ibogaine was first isolated from T. iboga in 1901 by Dybowski and Landrin[68] and independently by Haller and Heckel in the same year using T. iboga samples from Gabon. Complete synthesis of ibogaine was accomplished by G. Büchi in 1966.[69] Since then, several other synthesis methods have been developed.[70]
From the 1930s to 1960s, ibogaine was sold in France in the form of Lambarène, an extract of the Tabernanthe manii plant, and promoted as a mental and physical stimulant.[71] It was formulated at doses of 200 mg extract containing low doses of 4 to 8 mg ibogaine per tablet.[72][71] The drug enjoyed some popularity among post-World War II athletes. Lambarène was withdrawn from the market in 1966 when the sale of ibogaine-containing products became illegal in France.[73][71] Another formulation was Iperton, which contained Tabernanthe iboga extract 40 mg per dose unit.[72]
In 2008, Mačiulaitis and colleagues stated that in the late 1960s, the World Health Assembly classified ibogaine as a "substance likely to cause dependency or endanger human health". The U.S. Food and Drug Administration (FDA) also assigned it to a Schedule I classification, and the International Olympic Committee banned it as a potential doping agent.[72]
Anecdotal reports concerning ibogaine's effects appeared in the early 1960s.[74] Its anti-addictive properties were discovered accidentally by Howard Lotsof in 1962, at the age of 19, when he and five friends—all heroin addicts—noted subjective reduction of their craving and withdrawal symptoms while taking it.[75] Further anecdotal observation convinced Lotsof of its potential usefulness in treating substance addictions. He contracted with a Belgian company to produce ibogaine in tablet form for clinical trials in the Netherlands, and was awarded a United States patent for the product in 1985. The first objective, placebo-controlled evidence of ibogaine's ability to attenuate opioid withdrawal in rats was published by Dzoljic et al. in 1988.[76] Diminution of morphine self-administration was reported in preclinical studies by Glick et al. in 1991.[77] Cappendijk et al. demonstrated reduction in cocaine self-administration in rats in 1993,[78] and Rezvani reported reduced alcohol dependence in three strains of "alcohol-preferring" rats in 1995.[79]
As the use of ibogaine spread, its administration varied widely; some groups administered it systematically using well-developed methods and medical personnel, while others employed haphazard and possibly dangerous methodology. Lotsof and his colleagues, committed to the traditional administration of ibogaine, developed treatment regimens themselves. In 1992, Eric Taub brought ibogaine to an offshore location close to the United States, where he began providing treatments and popularizing its use.[80] In Costa Rica, Lex Kogan, another leading proponent, joined Taub in systematizing its administration. The two men established medically monitored treatment clinics in several countries.[81]
In 1981, an unnamed European manufacturer produced 44 kg of iboga extract. The entire stock was purchased by Carl Waltenburg, who distributed it under the name "Indra extract" and used it in 1982 to treat heroin addicts in the community of Christiania.[8] Indra extract was available for sale over the Internet until 2006, when the Indra web presence disappeared. Various products are currently sold in a number of countries as "Indra extract", but it is unclear if any of them are derived from Waltenburg's original stock. Ibogaine and related indole compounds are susceptible to oxidation over time.[82][83]
The National Institute on Drug Abuse (NIDA) began funding clinical studies of ibogaine in the United States in the early 1990s, but terminated the project in 1995.[84] Data demonstrating ibogaine's efficacy in attenuating opioid withdrawal in drug-dependent human subjects was published by Alper et al. in 1999.[85] A cohort of 33 patients were treated with 6 to 29 mg/kg of ibogaine; 25 displayed resolution of the signs of opioid withdrawal from 24 hours to 72 hours post-treatment, but one 24-year-old female, who received the highest dosage, died. Mash et al. (2000), using lower oral doses (10–12 mg/kg) in 27 patients, demonstrated significantly lower objective opiate withdrawal scores in heroin addicts 36 hours after treatment, with self-reports of decreased cocaine and opiate craving and alleviated depression symptoms. Many of these effects appeared sustainable over a one-month post-discharge follow-up.[86]
Society and culture
Legal status
As of 2024, the legal status of ibogaine varies widely among countries, as it may be illegal to possess or use, may be legalized, may be decriminalized, or is under consideration for future legislation.[87]
In the United States, although some cities and states have decriminalized psychedelic chemicals, plants and mushrooms, ibogaine has had minimal legislation, and remains illegal under federal law, as of 2023.[87][88] The US Drug Enforcement Administration enforces ibogaine as a Schedule I substance under the Controlled Substances Act.[15]
Treatment clinics
Ibogaine treatment clinics have emerged in Mexico, Bahamas, Canada, the Netherlands, South Africa, and New Zealand, all operating in what has been described as a "legal gray area".[89][90] Costa Rica also has treatment centers.[81] Covert, illegal neighborhood clinics are known to exist in the United States, despite active DEA surveillance.[91] While clinical guidelines for ibogaine-assisted detoxification were released by the Global Ibogaine Therapy Alliance in 2015,[92][93] addiction specialists warn that the treatment of drug dependence with ibogaine in non-medical settings, without expert supervision and unaccompanied by appropriate psychosocial care, can be dangerous — and, in approximately one case in 300, potentially fatal.[90]
Media
Documentary films
- Detox or Die (2004). Directed by David Graham Scott. Scott begins videotaping his heroin-addicted friends. Before long, he himself is addicted to the drug. He eventually turns the camera on himself and his family. After 12 years of debilitating, painful dependence on methadone, Scott turns to ibogaine. Filmed in Scotland and England, and broadcast on BBC One as the third installment in the documentary series One Life.[94]
- Ibogaine: Rite of Passage (2004). Directed by Ben Deloenen. Cy, a 34-year-old heroin addict, undergoes ibogaine treatment with Dr. Martin Polanco at the Ibogaine Association, a clinic in Rosarito, Mexico. Deloenen interviews people formerly addicted to heroin, cocaine, and methamphetamine, who share their perspectives about ibogaine treatment. In Gabon, a Babongo woman receives iboga root for her depressive malaise. Deloenen visually contrasts this Western, clinical use of ibogaine with the Bwiti use of iboga root, but emphasizes the Western context.[95]
- Facing the Habit (2007). Directed by Magnolia Martin. Martin's subject is a former millionaire and stockbroker who travels to Mexico for ibogaine treatment for heroin addiction.[96]
- Tripping in Amsterdam (2008). In this short film directed by Jan Bednarz, Simon "Swany" Wan visits Sara Glatt's iboga treatment center in Amsterdam.[97] Current TV broadcast the documentary in 2008 as part of their "Quarter-life Crisis" programming roster.
- I'm Dangerous with Love (2009). Directed by Michel Negroponte. Negroponte examines Dimitri Mobengo Mugianis's long, clandestine career of treating heroin addicts with ibogaine.[98]
- One of the five segments of "Hallucinogens DMT" (2012), Season 2, Episode 4 of Drugs, Inc. on National Geographic Channel, a former heroin user treats addicts with ibogaine in Canada. He himself used ibogaine to stop his abuse of narcotics.
- The "Underground Heroin Clinic" segment of "Addiction" (2013). Season 1, episode 7 of the HBO documentary series Vice examines the use of ibogaine to interrupt heroin addiction.[99][100]
- The Ibogaine Safari (2014). A documentary by filmmaker Pierre le Roux which investigates the claims of painless withdrawal from opiates such as nyaope/heroin in South Africa by taking several addicts on an adventure "safari" while taking ibogaine. The documentary won the award for 'Best Documentary Short' at the 2014 Canada International Film Festival.[101][102]
- Iboga Nights (2014). Directed by David Graham Scott.[103]
- Dosed (2019). A documentary by Tyler Chandler and Nicholas Meyers. Synopsis- After years of no success with prescription drugs, a suicidal Adrianne seeks help from underground healers with her depression, anxiety, and opioid addiction by utilizing illegal psychedelics like magic mushrooms and iboga.[104]
- "Synthetic Ibogaine - Natural Tramadol" (2021). This episode of the documentary series Hamilton's Pharmacopeia on Vice on TV, follows a struggling local addict to an ibogaine ritual.[105]
- Lamar Odom Reborn (2022). A documentary by Mike "Zappy" Zapolin, in which famous NBA athlete (and former Keeping Up With the Kardashians star) Lamar Odom seeks out ibogaine and other therapies to heal PTSD, anxiety, and addiction.[106]
Print media
- While in Wisconsin covering the primary campaign for the United States presidential election of 1972, gonzo journalist Hunter S. Thompson submitted a satirical article to Rolling Stone accusing Democratic Party candidate Edmund Muskie of being addicted to ibogaine. Many readers, and even other journalists, did not realize that the Rolling Stone piece was facetious. The ibogaine assertion, which was completely unfounded, did significant damage to Muskie's reputation, and was cited as a factor in his loss of the nomination to George McGovern.[107] Thompson later said he was surprised that anyone believed it.[108] The article is included in Thompson's post-election anthology, Fear and Loathing on the Campaign Trail '72 (1973).[109]
- Author and Yippie Dana Beal co-wrote the 1997 book The Ibogaine Story.[110]
- American author Daniel Pinchbeck wrote about his own experience of ibogaine in his book Breaking Open the Head (2002),[111] and in a 2003 article for The Guardian titled "Ten years of therapy in one night".[112]
- Author and musician Geoff Rickly based his debut novel Someone Who Isn't Me on his real-life experiences with heroin addiction and an ibogaine clinic in Mexico.[113]
- American investigative journalist, Rachel Nuwer, published a comprehensive feature for Reason magazine titled Can This Psychedelic Help Cure Opioid Addiction?[114] In the article, Rachel speaks with experts in the field of opioid use disorder (OUD) and how ibogaine shows promising results for effective treatment and recovery. This is particularly true for those patients that also suffer from traumatic brain injuries (TBI).[115]
Television drama
Ibogaine factors into the stories of these episodes from television drama series:
- "Patent Pending". FBI: Most Wanted. Season 4. Episode 6. 15 November 2022. CBS.
- "Via Negativa". The X-Files. Season 8. Episode 7. 17 December 2000. Fox Broadcasting Company.
- "Getting Off". CSI: Crime Scene Investigation. Season 4. Episode 16. 26 February 2004. CBS.
- "Users". Law & Order: Special Victims Unit. Season 11. Episode 7. 4 November 2009. NBC.
- "Echoes". Nikita. Season 1. Episode 16. 24 February 2011. The CW Television Network.
- "One Last Time". Homeland (TV series). Season 3. Episode 9. 24 November 2013. Showtime.
- "Bon Voyage". Graceland (TV series). Season 3. Episode 7. 6 August 2015. USA Network.
Radio and podcasts
- "Sink or Swim. Act Two. I'm Not a Doctor But I Play One at the Holiday Inn.". This American Life. Episode 321. 1 December 2006. — A former heroin addict realizes that he wants to help other addicts kick their habits. The problem is, he wants to do this using a hallucinogenic drug - ibogaine - that is completely illegal, and which requires medical expertise he doesn't have.[116]
- In January 2025, former Texas Governor Rick Perry and W. Bryan Hubbard, appeared on The Joe Rogan Experience. The trio discussed advances in public policy towards ibogaine and eventual FDA clinical trials.[117][118] Hubbard was the former Chairman and Executive Director of the Kentucky Opioid Abatement Advisory Commission until he was asked to resign in December 2023.[119] Since 2024, Hubbard has continued his campaign outside Kentucky and now works with the REID Foundation as the Executive Director of the American Ibogaine Initiative.[120]
Research
Addiction treatment
A 2022 systematic review of 24 studies involving 705 participants suggests that ibogaine and noribogaine show promise in treating substance use disorders and comorbid depressive symptoms and psychological trauma, but carry serious safety risks, necessitating rigorous clinical oversight.[121]
Texas research initiative
In 2025, the state of Texas allocated $50 million to fund clinical research on ibogaine, aiming to develop a U.S. Food and Drug Administration-approved treatment for opioid use disorder, co-occurring substance use disorders, and other ibogaine-responsive conditions.[122][123] The initiative, supported by former Governor Rick Perry, established a consortium of universities, hospitals, and drug developers, with the goal of positioning Texas as a leading center for psychedelic medicine research.[122]
Psychotherapy
Ibogaine was used as an adjunct to psychotherapy by Claudio Naranjo, documented in his book The Healing Journey.[124] He was awarded patent CA 939266 in 1974.
See also
References
- ^ "Notice - Prescription Drug List (PDL): Multiple additions". Health Canada. Government of Canada, Health. 12 May 2017.
- ^ Galea S, Lorusso M, Newcombe D, Walters C, Williman J, Wheeler A (March 2011). Goodyear-Smith F (ed.). "Ibogaine--be informed before you promote or prescribe" (PDF). Journal of Primary Health Care. 3 (1): 86–7. PMID 21359272. Retrieved 4 December 2015.
- ^ a b c d e Wasko MJ, Witt-Enderby PA, Surratt CK (October 2018). "DARK Classics in Chemical Neuroscience: Ibogaine". ACS Chem Neurosci. 9 (10): 2475–2483. doi:10.1021/acschemneuro.8b00294. PMID 30216039.
Unlike LSD, mescaline, and psilocybin, the hallucinogenic properties of ibogaine cannot be ascribed to 5-HT2A receptor activation.
- ^ a b Glue P, Lockhart M, Lam F, Hung N, Hung CT, Friedhoff L (February 2015). "Ascending-dose study of noribogaine in healthy volunteers: pharmacokinetics, pharmacodynamics, safety, and tolerability". J Clin Pharmacol. 55 (2): 189–194. doi:10.1002/jcph.404. PMID 25279818.
- ^ a b Glue P, Cape G, Tunnicliff D, Lockhart M, Lam F, Hung N, et al. (November 2016). "Ascending Single-Dose, Double-Blind, Placebo-Controlled Safety Study of Noribogaine in Opioid-Dependent Patients". Clin Pharmacol Drug Dev. 5 (6): 460–468. doi:10.1002/cpdd.254. PMID 27870477.
- ^ "Ibogaine". PubChem. U.S. National Library of Medicine. Retrieved 23 May 2025.
- ^ a b Köck P, Froelich K, Walter M, Lang U, Dürsteler KM (July 2022). "A systematic literature review of clinical trials and therapeutic applications of ibogaine". Journal of Substance Abuse Treatment. 138 108717. doi:10.1016/j.jsat.2021.108717. PMID 35012793.
- ^ a b Alper KR, Beal D, Kaplan CD (2001). "A contemporary history of ibogaine in the United States and Europe" (PDF). The Alkaloids. Chemistry and Biology. 56. Academic Press: 249–81. doi:10.1016/S0099-9598(01)56018-6. ISBN 978-0-12-469556-6. OCLC 119074996. PMID 11705112. Archived from the original (PDF) on 4 March 2016. Retrieved 21 September 2013.
- ^ Chadha N, Silakari O (July 2017). "Indoles as therapeutics of interest in medicinal chemistry: Bird's eye view". European Journal of Medicinal Chemistry. 134. Elsevier BV: 159–184. doi:10.1016/j.ejmech.2017.04.003. PMID 28412530.
- ^ Schep LJ, Slaughter RJ, Galea S, Newcombe D (September 2016). "Ibogaine for treating drug dependence. What is a safe dose?". Drug and Alcohol Dependence. 166: 1–5. doi:10.1016/j.drugalcdep.2016.07.005. PMID 27426011.
- ^ "Ibogaine". Drug Science. Retrieved 6 April 2025.
- ^ Davis AK, Barsuglia JP, Windham-Herman AM, Lynch M, Polanco M (November 2017). "Subjective effectiveness of ibogaine treatment for problematic opioid consumption: Short- and long-term outcomes and current psychological functioning". Journal of Psychedelic Studies. 1 (2): 65–73. doi:10.1556/2054.01.2017.009. PMC 6157925. PMID 30272050.
- ^ Brown TK, Alper K (2 January 2018). "Treatment of opioid use disorder with ibogaine: detoxification and drug use outcomes". The American Journal of Drug and Alcohol Abuse. 44 (1): 24–36. doi:10.1080/00952990.2017.1320802. PMID 28541119.
- ^ Brown TK (March 2013). "Ibogaine in the treatment of substance dependence". Current Drug Abuse Reviews. 6 (1): 3–16. doi:10.2174/15672050113109990001. PMID 23627782.
- ^ a b c d e f "Iboga (ibogaine)". Drugs.com. 21 April 2023. Retrieved 22 March 2024.
- ^ Alper K, Bai R, Liu N, Fowler SJ, Huang XP, Priori SG, et al. (January 2016). "hERG Blockade by Iboga Alkaloids". Cardiovascular Toxicology. 16 (1): 14–22. doi:10.1007/s12012-015-9311-5. PMID 25636206. S2CID 16071274.
- ^ a b c Koenig X, Hilber K (January 2015). "The anti-addiction drug ibogaine and the heart: a delicate relation". Molecules. 20 (2): 2208–28. doi:10.3390/molecules20022208. PMC 4382526. PMID 25642835.
- ^ O'Hearn E, Molliver ME (July 1993). "Degeneration of Purkinje cells in parasagittal zones of the cerebellar vermis after treatment with ibogaine or harmaline". Neuroscience. 55 (2): 303–10. doi:10.1016/0306-4522(93)90500-f. PMID 8377927. S2CID 25273690.
- ^ a b Mash DC, Kovera CA, Buck BE, Norenberg MD, Shapshak P, Hearn WL, et al. (May 1998). "Medication development of ibogaine as a pharmacotherapy for drug dependence". Annals of the New York Academy of Sciences. 844 (1): 274–92. Bibcode:1998NYASA.844..274M. doi:10.1111/j.1749-6632.1998.tb08242.x. PMID 9668685. S2CID 22068338.
- ^ Alper KR, Stajić M, Gill JR (March 2012). "Fatalities temporally associated with the ingestion of ibogaine". Journal of Forensic Sciences. 57 (2): 398–412. doi:10.1111/j.1556-4029.2011.02008.x. PMID 22268458. S2CID 6670557.
- ^ "Kᵢ Database". PDSP. 18 June 2025. Retrieved 18 June 2025.
- ^ Glick SD, Maisonneuve IM, Szumlinski KK (2001). "Mechanisms of action of ibogaine: Relevance to putative therapeutic effects and development of a safer iboga alkaloid congener" (PDF). The Alkaloids: Chemistry and Biology. 56: 39–53. doi:10.1016/S0099-9598(01)56006-X. ISBN 978-0-12-469556-6. ISSN 1099-4831. OCLC 119074996. PMID 11705115. Archived from the original (PDF) on 5 April 2014.
- ^ Glick SD, Maisonneuve IM, Szumlinski KK (September 2000). "18-Methoxycoronaridine (18-MC) and ibogaine: comparison of antiaddictive efficacy, toxicity, and mechanisms of action". Ann N Y Acad Sci. 914: 369–386. doi:10.1111/j.1749-6632.2000.tb05211.x. PMID 11085336.
- ^ Litjens RP, Brunt TM (2016). "How toxic is ibogaine?". Clin Toxicol (Phila). 54 (4): 297–302. doi:10.3109/15563650.2016.1138226. PMID 26807959.
- ^ Popik P, Layer RT, Skolnick P (June 1995). "100 years of ibogaine: neurochemical and pharmacological actions of a putative anti-addictive drug". Pharmacol Rev. 47 (2): 235–253. doi:10.1016/S0031-6997(25)06842-5. PMID 7568327.
- ^ Ray TS (February 2010). "Psychedelics and the human receptorome". PLOS ONE. 5 (2): e9019. Bibcode:2010PLoSO...5.9019R. doi:10.1371/journal.pone.0009019. PMC 2814854. PMID 20126400.
- ^ a b Cameron LP, Tombari RJ, Lu J, Pell AJ, Hurley ZQ, Ehinger Y, et al. (January 2021). "A non-hallucinogenic psychedelic analogue with therapeutic potential". Nature. 589 (7842): 474–479. Bibcode:2021Natur.589..474C. doi:10.1038/s41586-020-3008-z. PMC 7874389. PMID 33299186.
- ^ Toll L, Berzetei-Gurske IP, Polgar WE, Brandt SR, Adapa ID, Rodriguez L, et al. (March 1998). "Standard binding and functional assays related to medications development division testing for potential cocaine and opiate narcotic treatment medications". NIDA Res Monogr. 178: 440–466. PMID 9686407.
- ^ Antonio T, Childers SR, Rothman RB, Dersch CM, King C, Kuehne M, et al. (2013). "Effect of Iboga alkaloids on µ-opioid receptor-coupled G protein activation". PLOS ONE. 8 (10): e77262. Bibcode:2013PLoSO...877262A. doi:10.1371/journal.pone.0077262. PMC 3818563. PMID 24204784.
- ^ Maillet EL, Milon N, Heghinian MD, Fishback J, Schürer SC, Garamszegi N, et al. (December 2015). "Noribogaine is a G-protein biased κ-opioid receptor agonist". Neuropharmacology. 99: 675–688. doi:10.1016/j.neuropharm.2015.08.032. PMID 26302653.
- ^ Mash DC, Staley JK, Pablo JP, Holohean AM, Hackman JC, Davidoff RA (June 1995). "Properties of ibogaine and its principal metabolite (12-hydroxyibogamine) at the MK-801 binding site of the NMDA receptor complex". Neurosci Lett. 192 (1): 53–56. doi:10.1016/0304-3940(95)11608-y. PMID 7675310.
- ^ Straub CJ, Rusali LE, Kremiller KM, Riley AP (January 2023). "What We Have Gained from Ibogaine: α3β4 Nicotinic Acetylcholine Receptor Inhibitors as Treatments for Substance Use Disorders". J Med Chem. 66 (1): 107–121. doi:10.1021/acs.jmedchem.2c01562. PMC 10034762. PMID 36440853.
- ^ Arias HR, Rosenberg A, Targowska-Duda KM, Feuerbach D, Yuan XJ, Jozwiak K, et al. (September 2010). "Interaction of ibogaine with human alpha3beta4-nicotinic acetylcholine receptors in different conformational states". Int J Biochem Cell Biol. 42 (9): 1525–35. doi:10.1016/j.biocel.2010.05.011. PMC 4609575. PMID 20684041.
- ^ Arias HR, Feuerbach D, Targowska-Duda KM, Jozwiak K (September 2011). "Structure-activity relationship of ibogaine analogs interacting with nicotinic acetylcholine receptors in different conformational states". Int J Biochem Cell Biol. 43 (9): 1330–1339. doi:10.1016/j.biocel.2011.05.011. PMID 21642011.
- ^ Wells GB, Lopez MC, Tanaka JC (April 1999). "The effects of ibogaine on dopamine and serotonin transport in rat brain synaptosomes". Brain Res Bull. 48 (6): 641–647. doi:10.1016/s0361-9230(99)00053-2. PMID 10386845.
- ^ Hwu C, Havel V, Westergaard X, Mendieta AM, Serrano IC, Hwu J, et al. (10 March 2025), "Deciphering Ibogaine's Matrix Pharmacology: Multiple Transporter Modulation at Serotonin Synapses", bioRxiv, doi:10.1101/2025.03.04.641351
- ^ Alper K, Bai R, Liu N, Fowler SJ, Huang XP, Priori SG, et al. (January 2016). "hERG Blockade by Iboga Alkaloids". Cardiovasc Toxicol. 16 (1): 14–22. doi:10.1007/s12012-015-9311-5. PMID 25636206.
- ^ Koenig X, Kovar M, Boehm S, Sandtner W, Hilber K (March 2014). "Anti-addiction drug ibogaine inhibits hERG channels: a cardiac arrhythmia risk". Addict Biol. 19 (2): 237–239. doi:10.1111/j.1369-1600.2012.00447.x. PMC 4888945. PMID 22458604.
- ^ a b c d e f Ona G, Reverte I, Rossi GN, Dos Santos RG, Hallak JE, Colomina MT, et al. (December 2023). "Main targets of ibogaine and noribogaine associated with its putative anti-addictive effects: A mechanistic overview". J Psychopharmacol. 37 (12): 1190–1200. doi:10.1177/02698811231200882. PMID 37937505.
- ^ Popik P, Skolnick P (1999). "Pharmacology of Ibogaine and Ibogaine-Related Alkaloids". The Alkaloids: Chemistry and Biology. 52. Academic Press: 197–231. doi:10.1016/s0099-9598(08)60027-9. ISBN 978-0-12-469552-8. ISSN 1099-4831. OCLC 505140539. Archived from the original on 26 May 2012.
- ^ a b c d e f g h i j k l m n o Alper KR (2001). Alper KR, Glick SD (eds.). "Ibogaine: A Review" (PDF). The Alkaloids: Chemistry and Biology. 56. San Diego: Academic: 1–38. doi:10.1016/S0099-9598(01)56005-8. ISBN 978-0-12-469556-6. ISSN 1099-4831. OCLC 119074989. PMID 11705103. Archived from the original (PDF) on 27 September 2007.
- ^ a b c d e f g h i j k l m n o p q r s t u v w x y z aa Helsley S, Rabin RA, Winter J (2001). "Chapter 4 Drug discrimination studies with ibogaine". The Alkaloids: Chemistry and Biology. Vol. 56. Elsevier. pp. 63–77. doi:10.1016/s0099-9598(01)56008-3. ISBN 978-0-12-469556-6. PMID 11705117. Retrieved 19 April 2025.
- ^ a b Maillet EL, Milon N, Heghinian MD, Fishback J, Schürer SC, Garamszegi N, et al. (December 2015). "Noribogaine is a G-protein biased κ-opioid receptor agonist". Neuropharmacology. 99 (December 2015): 675–88. doi:10.1016/j.neuropharm.2015.08.032. ISSN 0028-3908. OCLC 5921346571. PMID 26302653.
- ^ Antonio T, Childers SR, Rothman RB, Dersch CM, King C, Kuehne M, et al. (2013). "Effect of Iboga alkaloids on µ-opioid receptor-coupled G protein activation". PLOS ONE. 8 (10): e77262. Bibcode:2013PLoSO...877262A. doi:10.1371/journal.pone.0077262. ISSN 1932-6203. OCLC 5534534188. PMC 3818563. PMID 24204784.
- ^ Zubaran C, Shoaib M, Stolerman IP, Pablo J, Mash DC (July 1999). "Noribogaine generalization to the ibogaine stimulus: correlation with noribogaine concentration in rat brain". Neuropsychopharmacology. 21 (1): 119–26. doi:10.1016/S0893-133X(99)00003-2. ISSN 1740-634X. OCLC 9523107895. PMID 10379526.
- ^ Helsley S, Fiorella D, Rabin RA, Winter JC (February 1998). "Behavioral and biochemical evidence for a nonessential 5-HT2A component of the ibogaine-induced discriminative stimulus". Pharmacol Biochem Behav. 59 (2): 419–425. doi:10.1016/s0091-3057(97)00451-6. PMID 9476990.
- ^ a b Grella B, Teitler M, Smith C, Herrick-Davis K, Glennon RA (December 2003). "Binding of beta-carbolines at 5-HT(2) serotonin receptors". Bioorganic & Medicinal Chemistry Letters. 13 (24): 4421–4425. doi:10.1016/j.bmcl.2003.09.027. PMID 14643338.
[...] several β-carbolines, including harmaline (1) and its positional isomer 6-methoxyharmalan (4) substituted for the hallucinogenic (5-HT2A agonist) phenylalkylamine [DOM] in a drug discrimination task with rats trained to discriminate DOM from saline vehicle.10 However, neither harmaline (1; Ki=7790 nM) nor 6-methoxyharmalan (4; Ki=5600 nM) binds with high affinity at 5-HT2A receptors, and both were found to lack action as 5-HT2A agonists in a phosphoinositol (PI) hydrolysis assay.5,9 [...] At this time, it is not known if the actions of 1 and 4 in the PI hydrolysis assay reflect their low affinity, low efficacy, or whether the actions of the β-carbolines (in drug discrimination and/or other assays) is attributable to, or compromised by, their actions at other populations of receptors—particularly 5-HT receptors—or by possible interactions with the serotonin transporter.
- ^ a b c González J, Prieto JP, Rodríguez P, Cavelli M, Benedetto L, Mondino A, et al. (2018). "Ibogaine Acute Administration in Rats Promotes Wakefulness, Long-Lasting REM Sleep Suppression, and a Distinctive Motor Profile". Front Pharmacol. 9: 374. doi:10.3389/fphar.2018.00374. PMC 5934978. PMID 29755349.
- ^ Naranjo C (1974). The Healing Journey: New Approaches to Consciousness. Pantheon Books. ISBN 978-0-394-48826-4. Retrieved 19 April 2025.
- ^ González J, Cavelli M, Castro-Zaballa S, Mondino A, Tort AB, Rubido N, et al. (April 2021). "EEG Gamma Band Alterations and REM-like Traits Underpin the Acute Effect of the Atypical Psychedelic Ibogaine in the Rat". ACS Pharmacol Transl Sci. 4 (2): 517–525. doi:10.1021/acsptsci.0c00164. PMC 8033602. PMID 33860181.
- ^ Baumann MH, Rothman RB, Pablo JP, Mash DC (May 2001). "In vivo neurobiological effects of ibogaine and its O-desmethyl metabolite, 12-hydroxyibogamine (noribogaine), in rats". The Journal of Pharmacology and Experimental Therapeutics. 297 (2): 531–9. doi:10.1016/S0022-3565(24)29567-7. ISSN 0022-3565. OCLC 118935157. PMID 11303040.
- ^ Hough LB, Bagal AA, Glick SD (March 2000). "Pharmacokinetic characterization of the indole alkaloid ibogaine in rats". Methods and Findings in Experimental and Clinical Pharmacology. 22 (2): 77–81. doi:10.1358/mf.2000.22.2.796066. ISSN 0379-0355. OCLC 118905358. PMID 10849889.
- ^ Mash DC, Kovera CA, Pablo J, Tyndale RF, Ervin FD, Williams IC, et al. (September 2000). "Ibogaine: complex pharmacokinetics, concerns for safety, and preliminary efficacy measures". Annals of the New York Academy of Sciences. 914 (1): 394–401. Bibcode:2000NYASA.914..394M. CiteSeerX 10.1.1.598.8242. doi:10.1111/j.1749-6632.2000.tb05213.x. ISSN 0077-8923. OCLC 117596065. PMID 11085338. S2CID 33436971.
- ^ Shulgin A, Shulgin A (1997). "IBOGAINE; 12-METHOXYIBOGAMINE". Tihkal: the continuation. Berkeley, CA: Transform Press. pp. 487–490. ISBN 978-0-9630096-9-2. OCLC 1360062118.
- ^ Jana GK, Sinha S (2012). "Total synthesis of ibogaine, epiibogaine and their analogues". Tetrahedron. 68 (35): 7155–7165. doi:10.1016/j.tet.2012.06.027. ISSN 0040-4020. OCLC 5901603422.
- ^ a b Jenks CW (February 2002). "Extraction studies of Tabernanthe iboga and Voacanga africana". Natural Product Letters. 16 (1): 71–6. doi:10.1080/1057563029001/4881. ISSN 1057-5634. OCLC 4803437833. PMID 11942686. S2CID 23390825.
- ^ "Voacanga Extraction Manual: Phase 4: Production and Purification of Ibogaine" (PDF). www.puzzlepiece.org. Retrieved 4 December 2015.
- ^ Krengel F, Mijangos MV, Reyes-Lezama M, Reyes-Chilpa R (July 2019). "Extraction and Conversion Studies of the Antiaddictive Alkaloids Coronaridine, Ibogamine, Voacangine, and Ibogaine from Two Mexican Tabernaemontana Species (Apocynaceae)". Chemistry & Biodiversity. 16 (7): e1900175. doi:10.1002/cbdv.201900175. ISSN 1612-1872. OCLC 8185274820. PMID 31095891. S2CID 157058497.
- ^ Fell A (6 February 2025). "UC Davis Researchers Achieve Total Synthesis of Ibogaine". UC Davis. Retrieved 12 February 2025.
- ^ Iyer RN, Favela D, Domokos A, Zhang G, Avanes AA, Carter SJ, et al. (February 2025). "Efficient and modular synthesis of ibogaine and related alkaloids". Nature Chemistry. 17 (3): 412–420. Bibcode:2025NatCh..17..412I. doi:10.1038/s41557-024-01714-7. PMC 11952118. PMID 39915657.
- ^ Pace CJ, Glick SD, Maisonneuve IM, He LW, Jokiel PA, Kuehne ME, et al. (May 2004). "Novel iboga alkaloid congeners block nicotinic receptors and reduce drug self-administration". European Journal of Pharmacology. 492 (2–3): 159–67. doi:10.1016/j.ejphar.2004.03.062. ISSN 0014-2999. OCLC 110898054. PMID 15178360.
- ^ Glick SD, Kuehne ME, Raucci J, Wilson TE, Larson D, Keller RW, et al. (September 1994). "Effects of iboga alkaloids on morphine and cocaine self-administration in rats: relationship to tremorigenic effects and to effects on dopamine release in nucleus accumbens and striatum". Brain Research. 657 (1–2): 14–22. doi:10.1016/0006-8993(94)90948-2. ISSN 0006-8993. OCLC 4923262393. PMID 7820611. S2CID 1940631.
- ^ Hua T (28 January 2006). "Antiaddictive indole alkaloids in Ervatamia yunnanensis and their bioactivity". Academic Journal of Second Military Medical University. Archived from the original on 13 February 2012. Retrieved 15 August 2012.
- ^ Cameron LP, Tombari RJ, Lu J, Pell AJ, Hurley ZQ, Ehinger Y, et al. (January 2021). "A non-hallucinogenic psychedelic analogue with therapeutic potential". Nature. 589 (7842): 474–479. Bibcode:2021Natur.589..474C. doi:10.1038/s41586-020-3008-z. ISSN 0028-0836. OCLC 8816084004. PMC 7874389. PMID 33299186.
- ^ Hamilton J (9 December 2020). "Progress Toward A Safer Psychedelic Drug To Treat Depression And Addiction". NPR.org. Retrieved 12 December 2020.
- ^ Iyer RN, Favela D, Zhang G, Olson DE (March 2021). "The iboga enigma: the chemistry and neuropharmacology of iboga alkaloids and related analogs". Natural Product Reports. 38 (2): 307–329. doi:10.1039/D0NP00033G. ISSN 0265-0568. OCLC 8646253022. PMC 7882011. PMID 32794540.
- ^ "Marie Théophile GRIFFON du BELLAY (1829–1908)". ecole.nav.traditions.free.fr. 5 February 2023. Archived from the original on 6 March 2023.
- ^ Dybowski J, Landrin E (1901). "PLANT CHEMISTRY. Concerning Iboga, its excitement-producing properties, its composition, and the new alkaloid it contains, ibogaine". C. R. Acad. Sci. 133: 748. Archived from the original on 10 July 2013. Retrieved 20 May 2013.
- ^ Büchi G, Coffen DL, Kocsis K, Sonnet PE, Ziegler FE (1966). "The Total Synthesis of Iboga Alkaloids". J. Am. Chem. Soc. 88 (13): 3099–3109. Bibcode:1966JAChS..88.3099B. doi:10.1021/ja00965a039.
- ^ Frauenfelder C (1999). Ph.D. (Thesis). p. 24. Archived from the original (PDF) on 29 July 2012.
- ^ a b c Mash DC (April 2023). "IUPHAR - invited review - Ibogaine - A legacy within the current renaissance of psychedelic therapy". Pharmacol Res. 190 106620. doi:10.1016/j.phrs.2022.106620. PMID 36907284.
- ^ a b c Maciulaitis R, Kontrimaviciute V, Bressolle FM, Briedis V (March 2008). "Ibogaine, an anti-addictive drug: pharmacology and time to go further in development. A narrative review". Hum Exp Toxicol. 27 (3): 181–194. Bibcode:2008HETox..27..181M. doi:10.1177/0960327107087802. PMID 18650249.
- ^ Freedlander J (2003). "Ibogaine: a Comprehensive Literature Review". Journal of Drug Addiction, Education, and Eradication. 1. Nova Science Publishers: 79–98. ISSN 1546-6965. OCLC 609715451. Retrieved 23 July 2024 – via ibogaine.mindvox.com.
- ^ Alper KR, Lotsof HS, Frenken GM, Luciano DJ, Bastiaans J (1999). "Treatment of acute opioid withdrawal with ibogaine" (PDF). The American Journal on Addictions. 8 (3): 234–42. doi:10.1080/105504999305848. ISSN 1055-0496. OCLC 122057314. PMID 10506904. Archived from the original (PDF) on 26 January 2002.
- ^ Hevesi D (17 February 2010). "Howard Lotsof Dies at 66; Saw Drug Cure in a Plant". The New York Times. ISSN 0362-4331. Retrieved 11 June 2015.
- ^ Dzoljic ED, Kaplan CD, Dzoljic MR (1988). "Effect of ibogaine on naloxone-precipitated withdrawal syndrome in chronic morphine-dependent rats". Archives Internationales de Pharmacodynamie et de Therapie. 294: 64–70. ISSN 0003-9780. OCLC 115924585. PMID 3233054.
- ^ Glick SD, Rossman K, Steindorf S, Maisonneuve IM, Carlson JN (April 1991). "Effects and aftereffects of ibogaine on morphine self-administration in rats". European Journal of Pharmacology. 195 (3): 341–5. doi:10.1016/0014-2999(91)90474-5. ISSN 0014-2999. OCLC 121337019. PMID 1868880.
- ^ Cappendijk SL, Dzoljic MR (September 1993). "Inhibitory effects of ibogaine on cocaine self-administration in rats". European Journal of Pharmacology. 241 (2–3): 261–5. doi:10.1016/0014-2999(93)90212-Z. ISSN 0014-2999. OCLC 121698805. PMID 8243561.
- ^ Rezvani AH, Overstreet DH, Lee YW (November 1995). "Attenuation of alcohol intake by ibogaine in three strains of alcohol-preferring rats". Pharmacology, Biochemistry, and Behavior. 52 (3): 615–20. doi:10.1016/0091-3057(95)00152-M. ISSN 0091-3057. OCLC 121166985. PMID 8545483. S2CID 38567079.
- ^ Ditton MC (17 July 2007). "A Home for Ibogaine in Barcelona". The Huffington Post. Retrieved 11 June 2015.
- ^ a b "Costa Rican Center a Leader in Alternative Ibogaine Therapy". Treatment Magazine. 11 September 2012. Archived from the original on 3 December 2013. Retrieved 11 June 2015.
- ^ Kontrimaviciūte V, Mathieu O, Mathieu-Daudé JC, Vainauskas P, Casper T, Baccino E, et al. (September 2006). "Distribution of ibogaine and noribogaine in a man following a poisoning involving root bark of the Tabernanthe iboga shrub". Journal of Analytical Toxicology. 30 (7): 434–40. doi:10.1093/jat/30.7.434. ISSN 0146-4760. OCLC 5113088519. PMID 16959135.
- ^ Taylor WI (1965). "Chapter 9 The Iboga and Voacanga Alkaloids" (PDF). The Alkaloids: Chemistry and Physiology. Vol. 8. Elsevier. pp. 203–235. doi:10.1016/s1876-0813(08)60048-2. ISBN 978-0-12-469508-5. OCLC 4922128763 – via Puzzle Piece.
- ^ Doblin R (12 May 2003). "A Non-Profit Approach to Developing Ibogaine into an FDA-Approved Medication". Archived from the original (PPT) on 30 October 2012.
- ^ Alper KR, Lotsof HS, Frenken GM, Luciano DJ, Bastiaans J (1999). "Treatment of Acute Opioid Withdrawal with Ibogaine" (PDF). The American Journal on Addictions. 8 (3): 234–242. doi:10.1080/105504999305848. ISSN 1055-0496. OCLC 122057314. PMID 10506904. Archived from the original (PDF) on 26 January 2002.
- ^ Mash DC, Kovera CA, Pablo J, Tyndale RF, Ervin FD, Williams IC, et al. (September 2000). "Ibogaine: Complex Pharmacokinetics, Concerns for Safety, and Preliminary Efficacy Measures" (PDF). Annals of the New York Academy of Sciences. 914 (1): 394–401. Bibcode:2000NYASA.914..394M. CiteSeerX 10.1.1.598.8242. doi:10.1111/j.1749-6632.2000.tb05213.x. ISSN 0077-8923. OCLC 117596065. PMID 11085338. S2CID 33436971. Archived from the original (PDF) on 3 March 2007. Retrieved 6 July 2006.
- ^ a b Chesak J (22 March 2024). "What psychedelics legalisation and decriminalisation looks like around the world". BBC. Retrieved 22 March 2024.
- ^ Siegel JS, Daily JE, Perry DA, Nicol GE (January 2023). "Psychedelic Drug Legislative Reform and Legalization in the United States". JAMA Psychiatry. 80 (1): 77–83. doi:10.1001/jamapsychiatry.2022.4101. ISSN 2168-622X. OCLC 9705254062. PMC 10069558. PMID 36477830.
- ^ Hegarty S (10 April 2012). "Can a hallucinogen from Africa cure addiction?". BBC News. Retrieved 24 July 2024.
- ^ a b "Ibogaine Therapy". Multidisciplinary Association for Psychedelic Studies - MAPS. 19 April 1979. Retrieved 24 July 2024.
- ^ Hunter A (13 December 2005). "Busted for Iboga". The Village Voice. Retrieved 24 July 2024.
- ^ >"Clinical Guidelines for Ibogaine-Assisted Detoxification". IBOGAINE SAFETY GUIDELINES. 28 October 2020. Retrieved 24 July 2024.
- ^ "The Global Ibogaine Therapy Alliance (GITA)". The Global Ibogaine Therapy Alliance. Archived from the original on 25 January 2016. Retrieved 14 January 2016.
- ^ "Detox or Die". BFI. One Life. 8 June 2004. Retrieved 24 July 2024.
- ^ "Ibogaine: Rite of Passage". IFFR EN. January–February 2005. Retrieved 2 September 2024.
- ^ "The 2007 FFF Winners". San Francisco Frozen Film Festival (SFFFF). 13 July 2007. Facing the Habit (WORLD PREMIERE). Retrieved 2 September 2024.
- ^ "Tripping in Amsterdam". Current.com. 23 June 2008. Archived from the original on 11 October 2012. Retrieved 7 April 2013.
- ^ Lanthier JJ (10 January 2011). "Review: I'm Dangerous with Love". Slant Magazine. Retrieved 2 September 2024.
- ^ "A New Episode of Our TV Show Is Airing Tonight". VICE. 17 May 2013. Retrieved 9 September 2024.
- ^ Tobaccoland & Underground Heroin Clinic | VICE on HBO (Season 1, Episode 7) on YouTube
- ^ "Ibogaine Media". ibogaworld.com. 13 November 2019. Retrieved 9 September 2024.
- ^ The Ibogaine Safari on YouTube
- ^ "Iboga Nights". Top Documentary Films. 31 July 2015. Retrieved 4 September 2024.
- ^ Kenigsberg B (19 March 2020). "'Dosed' Review: The Case for Plant-Based Recovery". The New York Times. Retrieved 6 September 2024.
- ^ Phelps H (21 June 2021). "Hulu's 'Hamilton's Pharmacopeia' Shows That We Can No Longer Ignore Connections Between Religion and Drugs". Religion Dispatches. Retrieved 8 September 2024.
- ^ Hernandez V (10 June 2021). "Lamar Odom prepares to fight Aaron Carter, but first he fought PTSD". Los Angeles Times. Retrieved 9 September 2024.
- ^ "Online NewsHour: Remembering Ed Muskie". pbs.org. 3 February 1999. Archived from the original on 27 April 1999. Retrieved 17 January 2023.
- ^ Gibney A (2008). Gonzo: The Life and Work of Dr. Hunter S. Thompson (Motion picture). OCLC 259718859.
- ^ Fear and Loathing on the Campaign Trail '72. Straight Arrow Books. 1973. pp. 150–54. ISBN 978-0-87932-053-9. OCLC 636410.
- ^ Beal D, De Rienzo P (1997). The Ibogaine Story: Report on the Staten Island Project. Autonomedia. ISBN 1570270295.
- ^ Pinchbeck D (2002). Breaking Open the Head: A Psychedelic Journey into the Heart of Contemporary Shamanism. Broadway Books. ISBN 9780767907422. OCLC 50601753.
- ^ Pinchbeck D (19 September 2003). "Ten years of therapy in one night". The Guardian. London. Retrieved 15 December 2013.
- ^ Rickly G. Someone Who Isn't Me.
- ^ Nuwer R (15 September 2024). "Can this psychedelic help cure opioid addiction?". Reason.com. Retrieved 9 February 2025.
- ^ "Psychoactive drug ibogaine effectively treats traumatic brain injury in special ops military vets". News Center. 5 January 2024. Retrieved 9 February 2025.
- ^ Olkowski L, Kay T (1 December 2006). "Sink or Swim. Act Two. I'm Not A Doctor But I Play One At The Holiday Inn.". This American Life. Episode 321. 16 minutes in. Retrieved 17 August 2015.
- ^ PowerfulJRE (2 January 2025). Joe Rogan Experience #2251 - Rick Perry & W. Bryan Hubbard. Retrieved 9 February 2025 – via YouTube.
- ^ "W. Bryan Hubbard | Exec. Director of American Ibogaine Initiative". W. Bryan Hubbard. Retrieved 9 February 2025.
- ^ "The Sabotage of Bryan Hubbard's Kentucky Ibogaine Initiative". Reveille Advisors. Retrieved 9 February 2025.
- ^ "Texas Ibogaine Initiative". www.reid.foundation. Retrieved 9 February 2025.
- ^ Köck P, Froelich K, Walter M, Lang U, Dürsteler KM (July 2022). "A systematic literature review of clinical trials and therapeutic applications of ibogaine". Journal of Substance Abuse Treatment. 138 108717. doi:10.1016/j.jsat.2021.108717. PMID 35012793.
- ^ a b Simpson S (11 June 2025). "With Rick Perry's backing and $50 million from the state, Texas set to become a leader in psychedelics research". The Texas Tribune. Retrieved 12 June 2025.
- ^ "Texas Legislature Online - 89(R) History for SB 2308". capitol.texas.gov. Retrieved 12 June 2025.
- ^ Naranjo C (1973). "V, Ibogaine: Fantasy and Reality". The healing journey: new approaches to consciousness. New York: Pantheon Books. pp. 197–231. ISBN 978-0-394-48826-4. Retrieved 15 August 2012.
External links
- "News on ibogaine". National Center for Biotechnical Information. 19 March 2020. Retrieved 6 September 2024.
- Ibogaine - Isomer Design
- Ibogaine - PsychonautWiki
- Ibogaine - Erowid
- The Big & Dandy Ibogaine/Iboga Thread - Bluelight
- Ibogaine - TiHKAL - Erowid
- Ibogaine - TiHKAL - Isomer Design
- Ibogaine: A Powerful Anti-Addictive Psychedelic - Tripsitter
- Ibogaine and Iboga: Traditional Use, Conservation, and Ethical Considerations - Double Blind Magazine