Tandospirone
![]() | |
Clinical data | |
---|---|
Trade names | Sediel |
Other names | Metanopirone |
AHFS/Drugs.com | International Drug Names |
Routes of administration | Oral |
ATC code |
|
Legal status | |
Legal status |
|
Pharmacokinetic data | |
Metabolites | 1-PP |
Elimination half-life | Tandospirone: 2–3 hours 1-PP : 3–5 hours |
Excretion | Urine (70%; 0.1% as unchanged drug) |
Identifiers | |
| |
CAS Number | |
PubChem CID | |
IUPHAR/BPS | |
ChemSpider | |
UNII | |
ChEBI | |
ChEMBL | |
CompTox Dashboard (EPA) | |
ECHA InfoCard | 100.210.461 |
Chemical and physical data | |
Formula | C21H29N5O2 |
Molar mass | 383.496 g·mol−1 |
3D model (JSmol) | |
| |
| |
![]() ![]() |
Tandospirone, sold under the brand name Sediel, is an anxiolytic and antidepressant medication used in Japan and China, where it is marketed by Dainippon Sumitomo Pharma. It is a member of the azapirone class of drugs and is closely related to other azapirones like buspirone and gepirone.
Tandospirone was introduced for medical use in Japan in 1996[1] and in China in 2004.[2]
Medical uses
Anxiety and depression
Tandospirone is most commonly used as a treatment for anxiety and depressive disorders, such as generalised anxiety disorder and dysthymia respectively.[3] For both indications it usually takes a couple of weeks for therapeutic effects to begin to be seen,[3] although at higher doses more rapid anxiolytic responses have been seen.[4] It has also been used successfully as a treatment for bruxism.[5]
Augmentation for depression
Tandospirone can be used as an effective augmentation, especially when coupled with fluoxetine or clomipramine.[6]
Other uses
Tandospirone might been tried successfully as an adjunctive treatment for cognitive symptoms in schizophrenic individuals.[7]
Side effects
Common adverse effects include:[3][1]
- Dizziness
- Drowsiness
- Insomnia
- Headache
- Gastrointestinal disorders
- Dry mouth
- Negative influence on explicit memory function[3]
- Nausea[1]
Adverse effects with unknown frequency include:[3]
- Hypotension (low blood pressure)
- Dysphoria
- Tachycardia
- Malaise
- Psychomotor impairment
It is not believed to be addictive but is known to produce mild withdrawal effects (e.g., anorexia) after abrupt discontinuation.[3]
Pharmacology
Pharmacodynamics
Tandospirone acts as a potent and selective 5-HT1A receptor partial agonist, with a Ki affinity value of 27 ± 5 nM[8] and approximately 55 to 85% intrinsic activity.[9][10] It has relatively weak affinity for the 5-HT2A (1,300 ± 200), 5-HT2C (2,600 ± 60), α1-adrenergic (1,600 ± 80), α2-adrenergic (1,900 ± 400), D1 (41,000 ± 10,000), and D2 (1,700 ± 300) receptors, and is essentially inactive at the 5-HT1B, 5-HT1D, β-adrenergic, and muscarinic acetylcholine receptors, serotonin transporter, and benzodiazepine allosteric site of the GABAA receptor (all of which are > 100,000).[8] There is evidence of tandospirone having low but significant antagonistic activity at the α2-adrenergic receptor through its active metabolite 1-(2-pyrimidinyl)piperazine (1-PP).[11][12]
Chemistry
Synthesis
- The Noreximide [6319-06-8] precursor also has dual uses to make Taglutimide & Tripamide & Lurasidone.

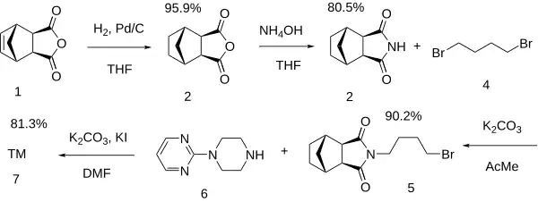
The catalytic hydrogenation of cis-5-Norbornene-exo-2,3-dicarboxylic anhydride [129-64-6] (1) gives Norbornane-2exo,3exo-dicarboxylic Acid-anhydride [14166-28-0] (2). Reaction with aqueous ammonia leads to Exo-2,3-norbornanedicarboximide [14805-29-9] (3). Alkylation with 1,4-dibromobutane [110-52-1] (4) gives CID:10661911 (5). Alkylation of the remaining halogen with 2-(1-Piperazinyl)Pyrimidine [20980-22-7] (6) completed the synthesis of Tandospirone (7).
History
Tandospirone was introduced in Japan for the treatment of anxiety disorders in 1996.[1] It was subsequently also introduced in China in 2004.[2]
Society and culture
Name
Tandospirone is also known as metanopirone and by the developmental code name SM-3997.[20][21][22][5] It is marketed in Japan under the brand name Sediel.[20][21][22][5]
See also
References
- ^ a b c d Levine LR, Potter WZ (2012). "The 5-HT1A receptor: an unkept promise". In Briley M, Nutt D (eds.). Anxiolytics. Milestones in Drug Therapy. Birkhäuser Basel. p. 99. ISBN 978-3-0348-8470-9. Retrieved 2023-10-07.
- ^ a b Riederer P, Laux G, Nagatsu T, Le W, Riederer C (2022). NeuroPsychopharmacotherapy. Springer International Publishing. p. 2131. ISBN 978-3-030-62059-2. Retrieved 2023-10-07.
- ^ a b c d e f Barradell LB, Fitton A (February 1996). "Tandospirone". CNS Drugs. 5 (2): 147–153. doi:10.2165/00023210-199605020-00006.
- ^ Nishitsuji K, To H, Murakami Y, Kodama K, Kobayashi D, Yamada T, et al. (2004). "Tandospirone in the treatment of generalised anxiety disorder and mixed anxiety-depression : results of a comparatively high dosage trial". Clinical Drug Investigation. 24 (2): 121–126. doi:10.2165/00044011-200424020-00007. PMID 17516698. S2CID 38339009.
- ^ a b c "Tandospirone". Martindale: The Complete Drug Reference. The Royal Pharmaceutical Society of Great Britain. 23 September 2011. Retrieved 14 November 2013.
- ^ Huang X, Yang J, Yang S, Cao S, Qin D, Zhou Y, et al. (November 2017). "Role of tandospirone, a 5-HT1A receptor partial agonist, in the treatment of central nervous system disorders and the underlying mechanisms". Oncotarget. 8 (60). Impact Journals, LLC: 102705–102720. doi:10.18632/oncotarget.22170. PMC 5731992. PMID 29254282.
- ^ Sumiyoshi T, Matsui M, Nohara S, Yamashita I, Kurachi M, Sumiyoshi C, et al. (October 2001). "Enhancement of cognitive performance in schizophrenia by addition of tandospirone to neuroleptic treatment". The American Journal of Psychiatry. 158 (10): 1722–1725. doi:10.1176/appi.ajp.158.10.1722. PMID 11579010.
- ^ a b Hamik A, Oksenberg D, Fischette C, Peroutka SJ (July 1990). "Analysis of tandospirone (SM-3997) interactions with neurotransmitter receptor binding sites". Biological Psychiatry. 28 (2): 99–109. doi:10.1016/0006-3223(90)90627-E. PMID 1974152. S2CID 25608914.
- ^ Tanaka H, Tatsuno T, Shimizu H, Hirose A, Kumasaka Y, Nakamura M (December 1995). "Effects of tandospirone on second messenger systems and neurotransmitter release in the rat brain". General Pharmacology. 26 (8): 1765–1772. doi:10.1016/0306-3623(95)00077-1. PMID 8745167.
- ^ Yabuuchi K, Tagashira R, Ohno Y (2004). "Effects of tandospirone, a novel anxiolytic agent, on human 5-HT1A receptors expressed in Chinese hamster ovary cells (CHO cells)". Biogenic Amines. 18 (3): 319–328. doi:10.1163/1569391041501933.
- ^ Blier P, Curet O, Chaput Y, de Montigny C (July 1991). "Tandospirone and its metabolite, 1-(2-pyrimidinyl)-piperazine--II. Effects of acute administration of 1-PP and long-term administration of tandospirone on noradrenergic neurotransmission". Neuropharmacology. 30 (7): 691–701. doi:10.1016/0028-3908(91)90176-C. PMID 1681447. S2CID 44297577.
- ^ Miller LG, Thompson ML, Byrnes JJ, Greenblatt DJ, Shemer A (October 1992). "Kinetics, brain uptake, and receptor binding of tandospirone and its metabolite 1-(2-pyrimidinyl)-piperazine". Journal of Clinical Psychopharmacology. 12 (5): 341–345. doi:10.1097/00004714-199210000-00009. PMID 1362206. S2CID 22449352.
- ^ Ishizumi K, Kojima A, Antoku F (September 1991). "Synthesis and anxiolytic activity of N-substituted cyclic imides (1R*,2S*,3R*,4S*)-N-[4-[4-(2-pyrimidinyl)-1-piperazinyl]butyl]-2,3- bicyclo[2.2.1]heptanedicarboximide (tandospirone) and related compounds". Chemical & Pharmaceutical Bulletin. 39 (9): 2288–2300. doi:10.1248/cpb.39.2288. eISSN 1347-5223. PMID 1687114.
- ^ Cybulski J, Chilmonczyk Z, Szelejewski W, Wojtasiewicz K, Wróbel JT (1992). "An Efficient Synthesis of Buspirone and its Analogues". Archiv der Pharmazie. 325 (5): 313–315. doi:10.1002/ardp.19923250513. eISSN 1521-4184. ISSN 0365-6233. S2CID 83676454.
- ^ Prous J, Castaner J (1986). "SM-3997". Drugs of the Future. 11 (11): 949. doi:10.1358/dof.1986.011.11.53048.
- ^ EP 0082402, Ishizumi K, Antoku F, Asami Y, published 1986, assigned to Sumitomo Chemical Company, Limited)
- ^ CN 101880274A, Zhang J, Li L, published 2010, assigned to PKUCare Southwest Synthetic Pharmaceutical Corp., Ltd.
- ^ Nishioka K, Kanamaru H (June 1992). "14C-labeling of a novel anxiolytic agent tandospirone". Journal of Labelled Compounds and Radiopharmaceuticals. 31 (6): 427–436. doi:10.1002/jlcr.2580310602. ISSN 0362-4803.
- ^ WO 2012016569, Hansen JB, Thomsen MS, assigned to Conrig Pharma ApS
- ^ a b Elks J (2014). The Dictionary of Drugs: Chemical Data: Chemical Data, Structures and Bibliographies. Springer US. p. 1149. ISBN 978-1-4757-2085-3. Retrieved 2023-10-07.
- ^ a b Schweizerischer Apotheker-Verein (2004). Index Nominum: International Drug Directory. Medpharm Scientific Publishers. p. 1146. ISBN 978-3-88763-101-7. Retrieved 2023-10-07.
- ^ a b Morton IK, Hall JM (2012). Concise Dictionary of Pharmacological Agents: Properties and Synonyms. Springer Netherlands. p. 257. ISBN 978-94-011-4439-1. Retrieved 2023-10-07.