Metazosin

Metazosin
Names
IUPAC name
1-[4-(4-Amino-6,7-dimethoxyquinazolin-2-yl)piperazin-1-yl]-2-methoxypropan-1-one
Other names
Kenosin
Identifiers
3D model (JSmol)
ChemSpider
UNII
  • InChI=1S/C18H25N5O4/c1-11(25-2)17(24)22-5-7-23(8-6-22)18-20-13-10-15(27-4)14(26-3)9-12(13)16(19)21-18/h9-11H,5-8H2,1-4H3,(H2,19,20,21)
    Key: YEOTYALSMRNXLJ-UHFFFAOYSA-N
  • CC(C(=O)N1CCN(CC1)C2=NC3=CC(=C(C=C3C(=N2)N)OC)OC)OC
Properties
C18H25N5O4
Molar mass 375.429 g·mol−1
Except where otherwise noted, data are given for materials in their standard state (at 25 °C [77 °F], 100 kPa).
Infobox references

Metazosin is an antihypertensive α1-adrenergic receptor antagonist.[1][2]

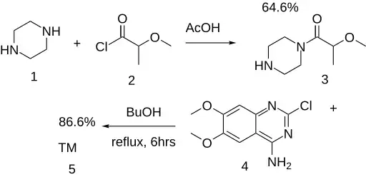
Synthesis

The amide (3) is formed when piperazine is reacted with 2-methoxypropionylchloride (2). Metazosin is the product when this intermediate is reacted with the substituted quinazoline (4).[3][4]

References

  1. ^ Trcka, V; König, J; Mácová, S; Smíd, M; Helfert, I; Votavová, M; Remesová, J; Nezádalová, E (1990). "Pharmacology of a new antihypertensive agent, metazosin (Kenosin)". Ceskoslovenska Farmacie. 39 (6): 266–74. PMID 1981860.
  2. ^ Lapka, R; Rejholec, V; Sechser, T; Peterková, M; Smíd, M (1989). "Interspecies pharmacokinetic scaling of metazosin, a novel alpha-adrenergic antagonist". Biopharmaceutics & Drug Disposition. 10 (6): 581–9. doi:10.1002/bdd.2510100607. PMID 2575403.
  3. ^ US patent 4775673, Jan Koenig, Miroslav Rajsner, Vaclav Trcka, Sverluse Macova, "Substituted acylpiperazinoquinazolines and pharmaceutical compositions containing same", issued 1988-10-04, assigned to Spofa Spojene Podniky Pro Zdravotnickou Vyrobu 
  4. ^ "Metazosin". chemdrug.com. Retrieved 2024-07-08.