Procaterol
![]() | |
Clinical data | |
---|---|
Trade names | Meptin, others |
AHFS/Drugs.com | Micromedex Detailed Consumer Information |
Routes of administration | Oral (tablets, syrup), inhalation (DPI) |
ATC code | |
Identifiers | |
| |
CAS Number |
|
PubChem CID | |
ChemSpider | |
UNII |
|
KEGG | |
CompTox Dashboard (EPA) | |
ECHA InfoCard | 100.069.606 |
Chemical and physical data | |
Formula | C16H22N2O3 |
Molar mass | 290.363 g·mol−1 |
3D model (JSmol) | |
Chirality | Racemic mixture |
| |
![]() ![]() |
Procaterol is a β2 adrenoreceptor agonist used for the treatment of asthma in many countries, but is not approved in the United States. The drug is readily oxidized in the presence of moisture and air, and requires stabilizers for use by inhalation.[1]
It was patented in 1974 and came into medical use in 1980.[2] Procaterol is similar to salbutamol (albuterol), but has a somewhat more prolonged action. It can be taken orally or by inhalation to treat asthma.
Synthesis
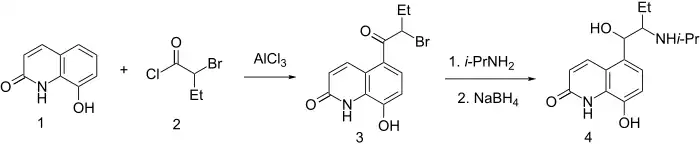
8-Hydroxycarbostyril 1 is acylated with 2-bromobutyric acid chloride 2 at the fifth position of the quinoline system, which gives the compound 3. This undergoes action of isopropylamine, forming an aminoketone, the carbonyl group of which is reduced by sodium borohydride, giving procaterol 4.[3][4][5][6]

Names
It is also known as procaterol hydrochloride (USAN).
Procaterol is available under a number of trade names (Onsukil, Masacin, Procadil and others).[7]
References
- ^ US 4616022, Ghebre-sellassie I, Nesbitt Jr RU, "Procaterol stabilization", published 1984, issued 1986, assigned to Warner Lambert Co LLC
- ^ Fischer J, Ganellin CR (2006). Analogue-based Drug Discovery. John Wiley & Sons. p. 543. ISBN 9783527607495.
- ^ a b US 4026897, Nakagawa K, Yoshizaki S, "5-[1-Hydroxy-2-(substituted-amino)]alkyl-8-hydroxycarbostyril derivatives", issued 31 May 1977, assigned to Otsuka Pharmaceutical Co Ltd
- ^ a b Yoshizaki S, Osaki M, Nakagawa K, Yamura Y (November 1980). "Synthesis of 8-hydroxycarbostyril". Chemical and Pharmaceutical Bulletin. 28 (11): 3441–3443. doi:10.1248/cpb.28.3441.
- ^ a b Yoshizaki S, Tanimura K, Tamada S, Yabuuchi Y, Nakagawa K (September 1976). "Sympathomimetic amines having a carbostyril nucleus". Journal of Medicinal Chemistry. 19 (9): 1138–1142. doi:10.1021/jm00231a011. PMID 10441.
- ^ a b Yoshizaki S, Manabe Y, Tamada S, Nakagawa K, Tei S (August 1977). "Isomers of erythro-5-(1-hydroxy-2-isopropylaminobutyl)-8-hydroxycarbostyril, a new bronchodilator". Journal of Medicinal Chemistry. 20 (8): 1103–1104. doi:10.1021/jm00218a024. PMID 894683.
- ^ "International Drugs: Procaterol". Drugs.com. Retrieved 7 March 2016.