Antrafenine
![]() | |
Clinical data | |
---|---|
Routes of administration | Oral |
ATC code |
|
Legal status | |
Legal status |
|
Pharmacokinetic data | |
Metabolism | Hepatic |
Excretion | Renal |
Identifiers | |
| |
CAS Number | |
PubChem CID | |
DrugBank | |
ChemSpider | |
UNII | |
ChEMBL | |
CompTox Dashboard (EPA) | |
Chemical and physical data | |
Formula | C30H26F6N4O2 |
Molar mass | 588.554 g·mol−1 |
3D model (JSmol) | |
| |
| |
(verify) |
Antrafenine (Stakane) is a phenylpiperazine derivative drug invented in 1979.[1] It acts as an analgesic and anti-inflammatory drug with similar efficacy to naproxen,[2] but is not widely used as it has largely been replaced by newer drugs.
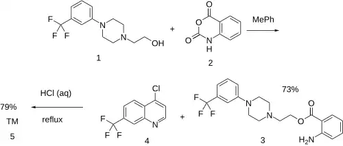
Synthesis

Method E: The reaction between 2-[4-[3-(trifluoromethyl)phenyl]-1-piperazinyl]ethanol [40004-29-3] (1) and Isatoic anhydride [118-48-9] (2) goes on to give 4-(3-(Trifluoromethyl)phenyl)piperazine-1-ethyl 2-aminobenzoate [51941-08-3] (3).
Method G: Alkylation with 4-chloro-7-(trifluoromethyl)quinoline [346-55-4] (4) completed the synthesis of antrafenine (5).
See also
References
- ^ a b Manoury PM, Dumas AP, Najer H, Branceni D, Prouteau M, Lefevre-Borg FM (May 1979). "Synthesis and analgesic activities of some (4-substituted phenyl-1-piperazinyl)alkyl 2-aminobenzoates and 2-aminonicotinates". Journal of Medicinal Chemistry. 22 (5): 554–9. doi:10.1021/jm00191a017. PMID 458805.
- ^ Leatham PA, Bird HA, Wright V, Seymour D, Gordon A (1983). "A double blind study of antrafenine, naproxen and placebo in osteoarthrosis". European Journal of Rheumatology and Inflammation. 6 (2): 209–11. PMID 6673985.
- ^ Don Pierre Rene Lucien Giudicelli, et al. U.S. patent 4,017,623 (1977 to Synthelabo SA).
- ^ Don Pierre Rene Lucien Giudicelli, et al. U.S. patent 3,935,229 (1976 to Synthelabo SA).
- ^ Don Pierre Rene Lucien Giudicelli, et al. U.S. patent 3,953,449 (1976 to Synthelabo SA).